Acitretin Related Products
Axios Research stands at the forefront of pharmaceutical reference standards ingenuity, providing high quality Acitretin Reference Standards. These include both pharmacopeial and non-pharmacopeial Acitretin impurities, metabolites, stable isotope products, and nitrosamines. Our Acitretin impurity reference standards are essential for pharmaceutical research, aiding in product development, ANDA and DMF submissions, quality control (QC), method validation, and stability studies. They are also used in identifying unknown impurities and evaluating genotoxic potential. Our Acitretin related products are meticulously characterized and come with a comprehensive Certificates of Analysis (COA) and analytical data that comply with regulatory standards.
Acitretin EP Impurity B (Etretinate, Acitretin USP Related Compound B)

M.F.
M.W. 354.49
CAT# AR-A05481
CAS# 54350-48-0
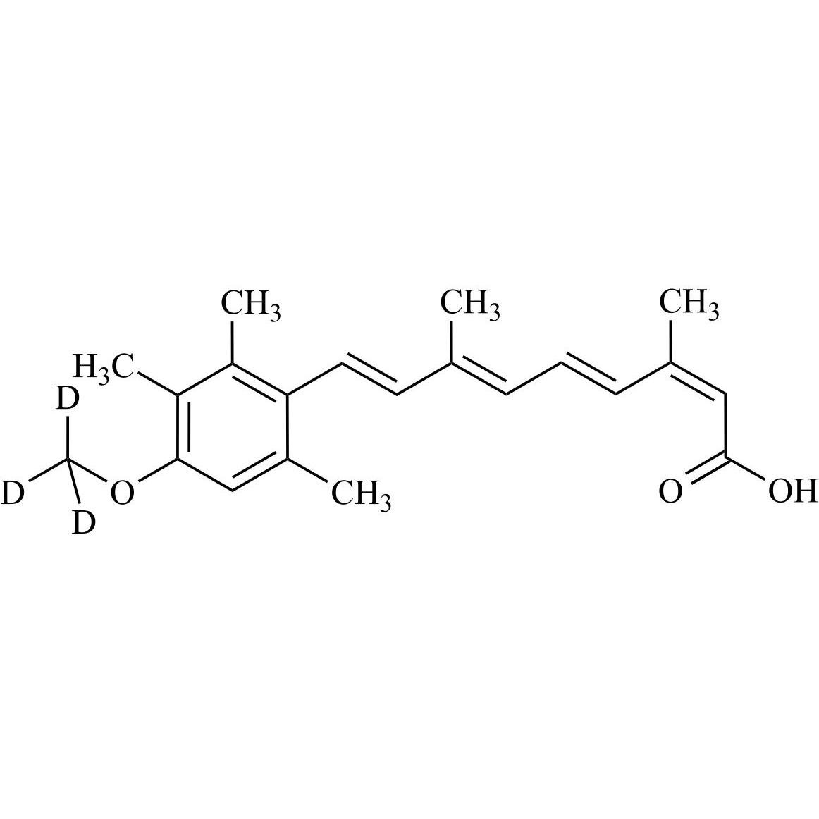
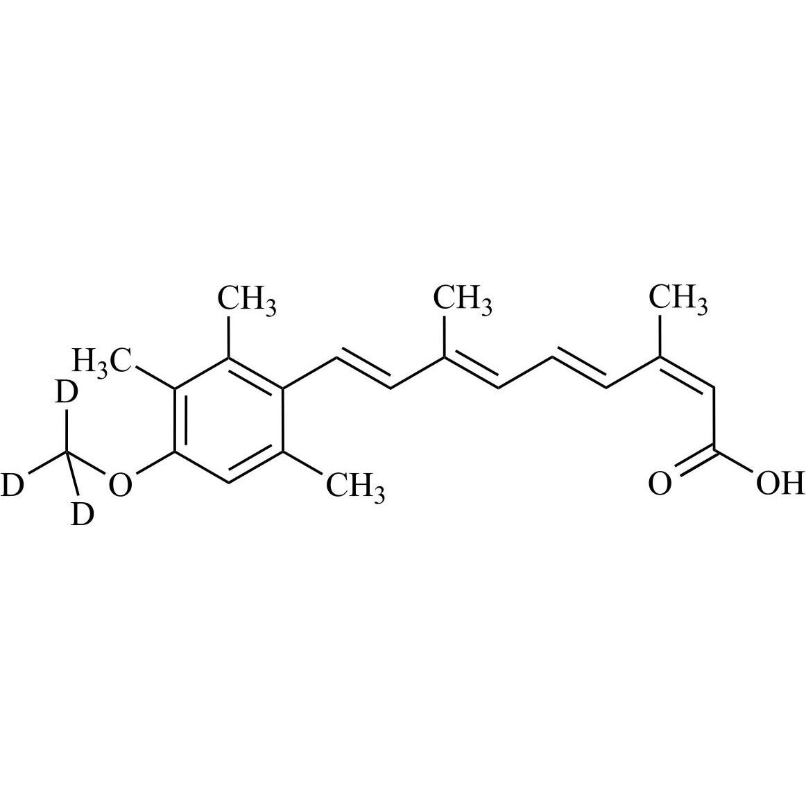
Acitretin EP Impurity A-d3 (Acitretin USP Related Compound A-d3, 13-cis-Acitretin-d3)

M.F.
M.W. 329.45
CAT# AR-A05482
CAS# NA