Arginine Related Products
Axios Research stands at the forefront of pharmaceutical reference standards ingenuity, providing high quality Arginine Reference Standards. These include both pharmacopeial and non-pharmacopeial Arginine impurities, metabolites, stable isotope products, and nitrosamines. Our Arginine impurity reference standards are essential for pharmaceutical research, aiding in product development, ANDA and DMF submissions, quality control (QC), method validation, and stability studies. They are also used in identifying unknown impurities and evaluating genotoxic potential. Our Arginine related products are meticulously characterized and come with a comprehensive Certificates of Analysis (COA) and analytical data that comply with regulatory standards.
alfa-Keto-Delta-(NG,NG-Dimethylguanidino)valenic Acid

M.F.
M.W. 201.23
CAT# AR-A02496
CAS# 107347-90-0
(R)-2-amino-6-((bis(ethylamino)methylene)amino)hexanoic acid

M.F.
M.W. 244.34
CAT# AR-Z00990
CAS# 98500-82-4
N-a-Z-Nomega-(2,2,5,7,8-pentamethylchroman-6-sulfonyl)-D-arginine Cyclohexylammonium Salt

M.F.
M.W. 574.69 99.18
CAT# AR-A07069
CAS# 200191-08-8
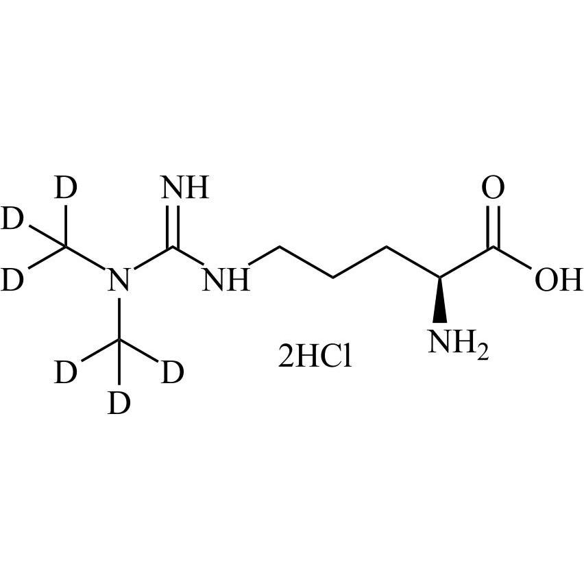
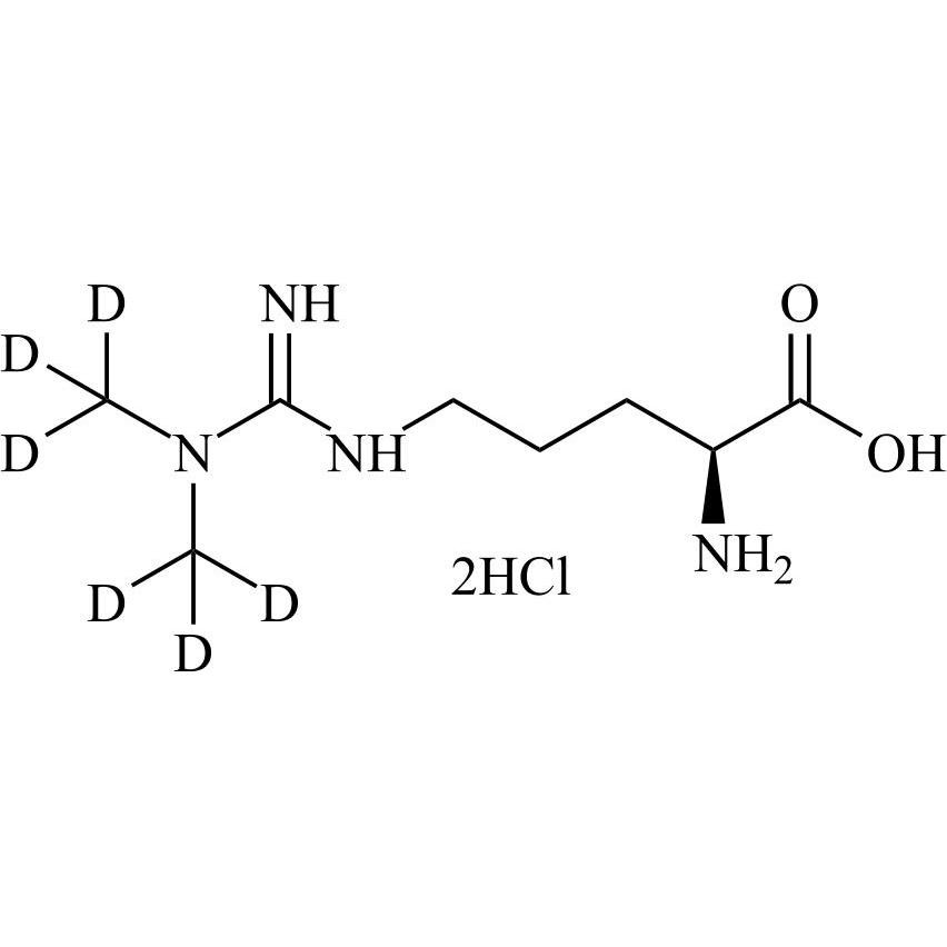
NG,NG-dimethyl-L-Arginine-d6 Hydrochloride

M.F.
M.W. 208.29 2*36.46
CAT# AR-A07067
CAS# 1313730-20-9