Azithromycin Related Products
Axios Research stands at the forefront of pharmaceutical reference standards ingenuity, providing high quality Azithromycin Reference Standards. These include both pharmacopeial and non-pharmacopeial Azithromycin impurities, metabolites, stable isotope products, and nitrosamines. Our Azithromycin impurity reference standards are essential for pharmaceutical research, aiding in product development, ANDA and DMF submissions, quality control (QC), method validation, and stability studies. They are also used in identifying unknown impurities and evaluating genotoxic potential. Our Azithromycin related products are meticulously characterized and come with a comprehensive Certificates of Analysis (COA) and analytical data that comply with regulatory standards.
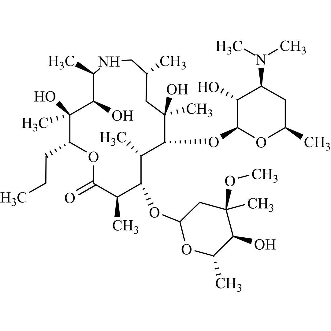
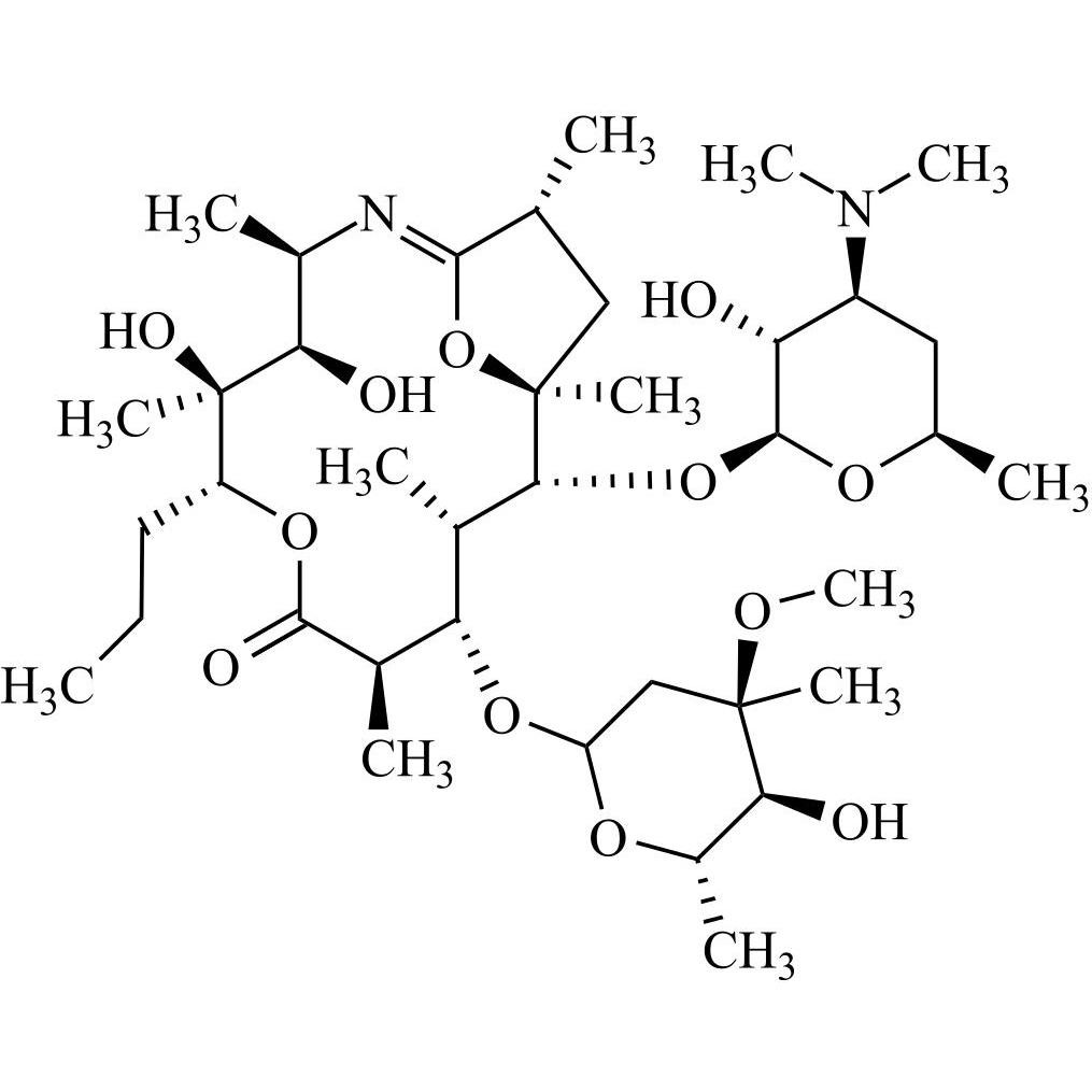
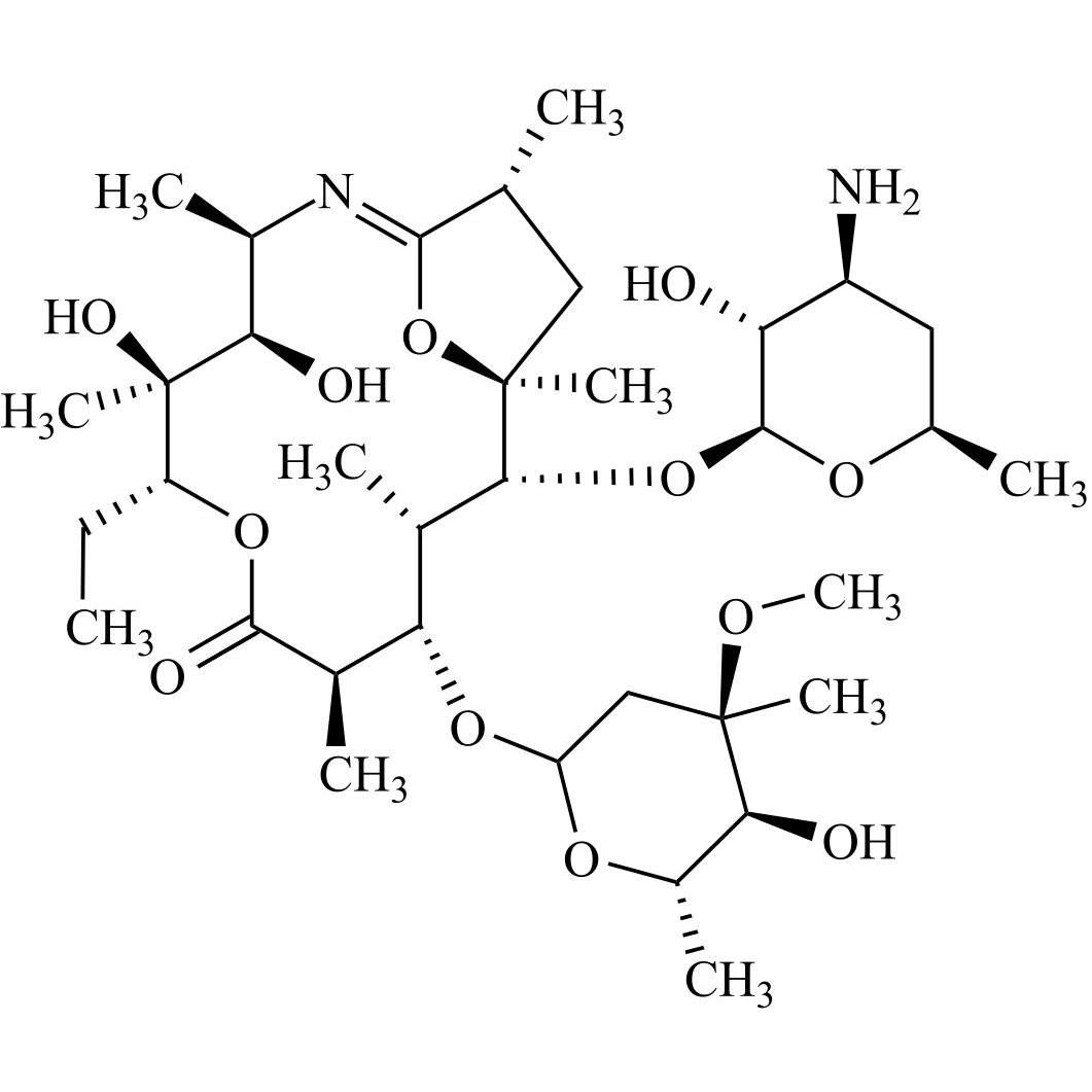
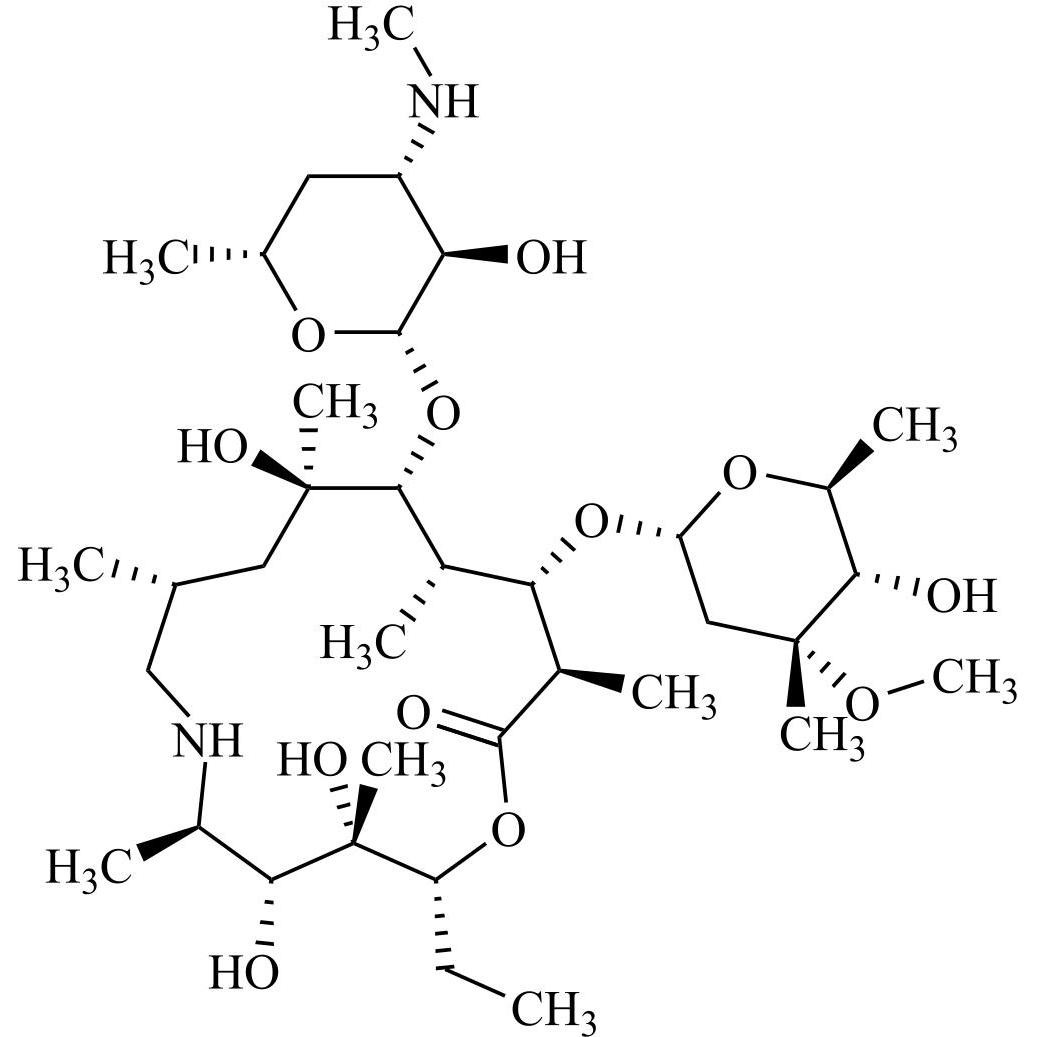
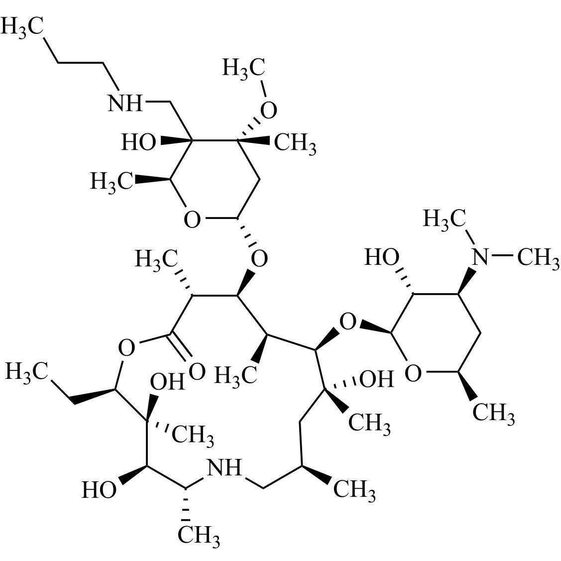
Azithromycin EP Impurity I (N-Desmethyl Azithromycin)

M.F.
M.W. 734.97
CAT# AR-A03185
CAS# 172617-84-4
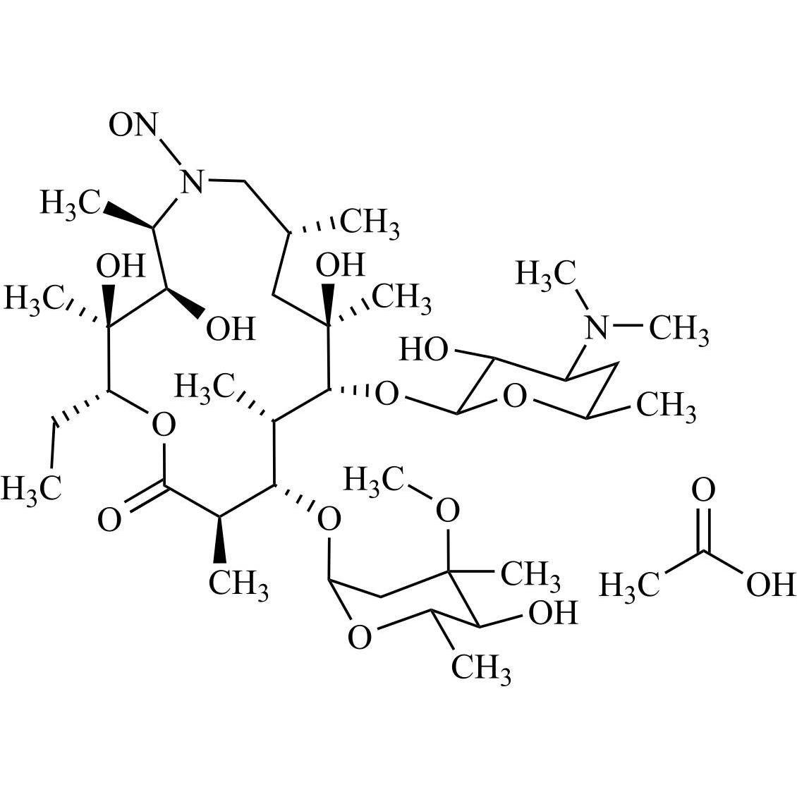
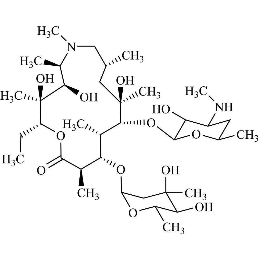
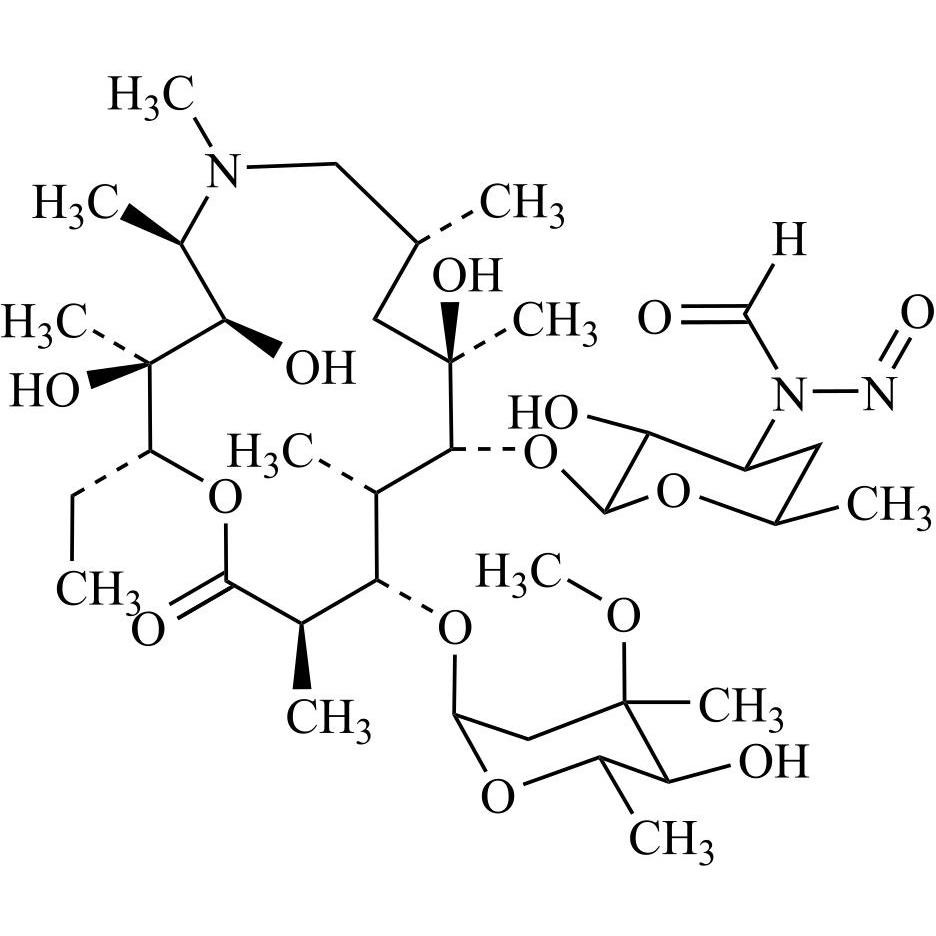
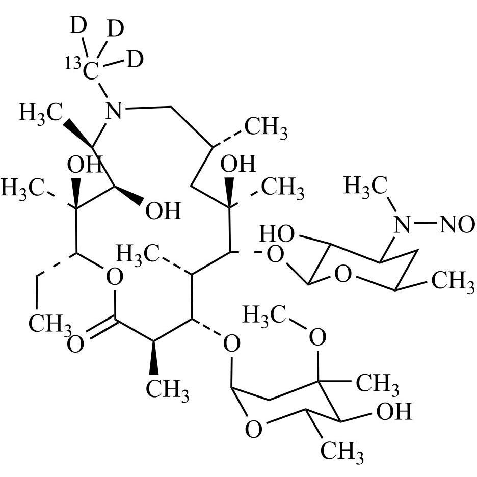
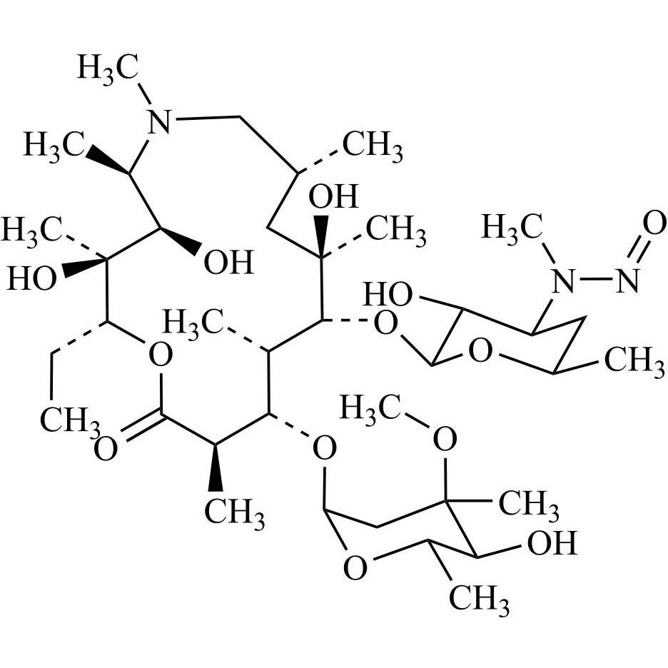
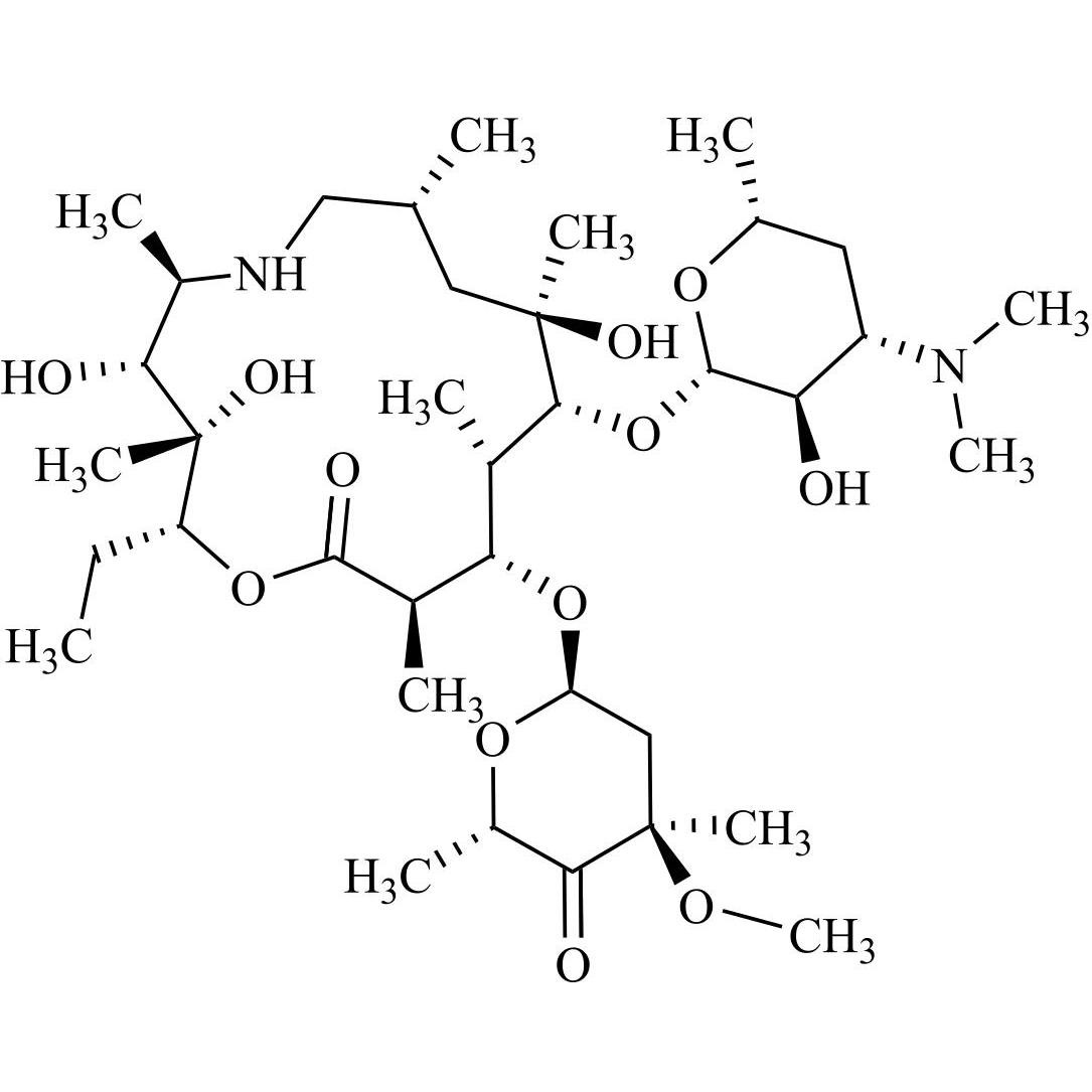
N-Nitroso Azithromycin EP Impurity A Acetate (N-Nitroso Azathramycin Acetate, N-Nitroso Desmethyl Azithromycin Acetate)

M.F.
M.W. 763.97 60.05
CAT# AR-A07971
CAS# NA