Bedaquiline Related Products
Axios Research stands at the forefront of pharmaceutical reference standards ingenuity, providing high quality Bedaquiline Reference Standards. These include both pharmacopeial and non-pharmacopeial Bedaquiline impurities, metabolites, stable isotope products, and nitrosamines. Our Bedaquiline impurity reference standards are essential for pharmaceutical research, aiding in product development, ANDA and DMF submissions, quality control (QC), method validation, and stability studies. They are also used in identifying unknown impurities and evaluating genotoxic potential. Our Bedaquiline related products are meticulously characterized and come with a comprehensive Certificates of Analysis (COA) and analytical data that comply with regulatory standards.
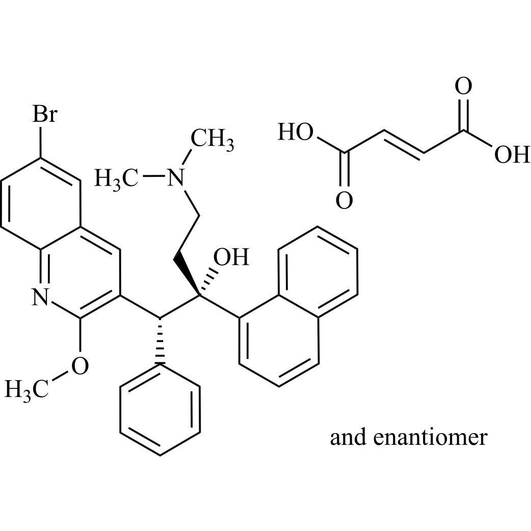
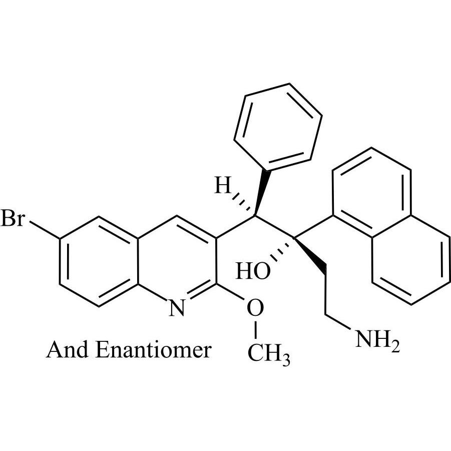
Bedaquiline Fumarate (Mixture of Enantiomers)

M.F.
M.W. 555.52 116.07
CAT# AR-B06124
CAS# 2747938-36-7
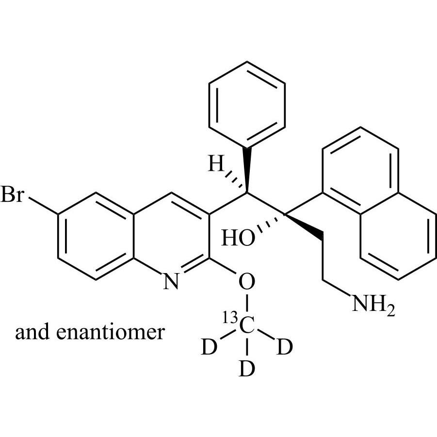
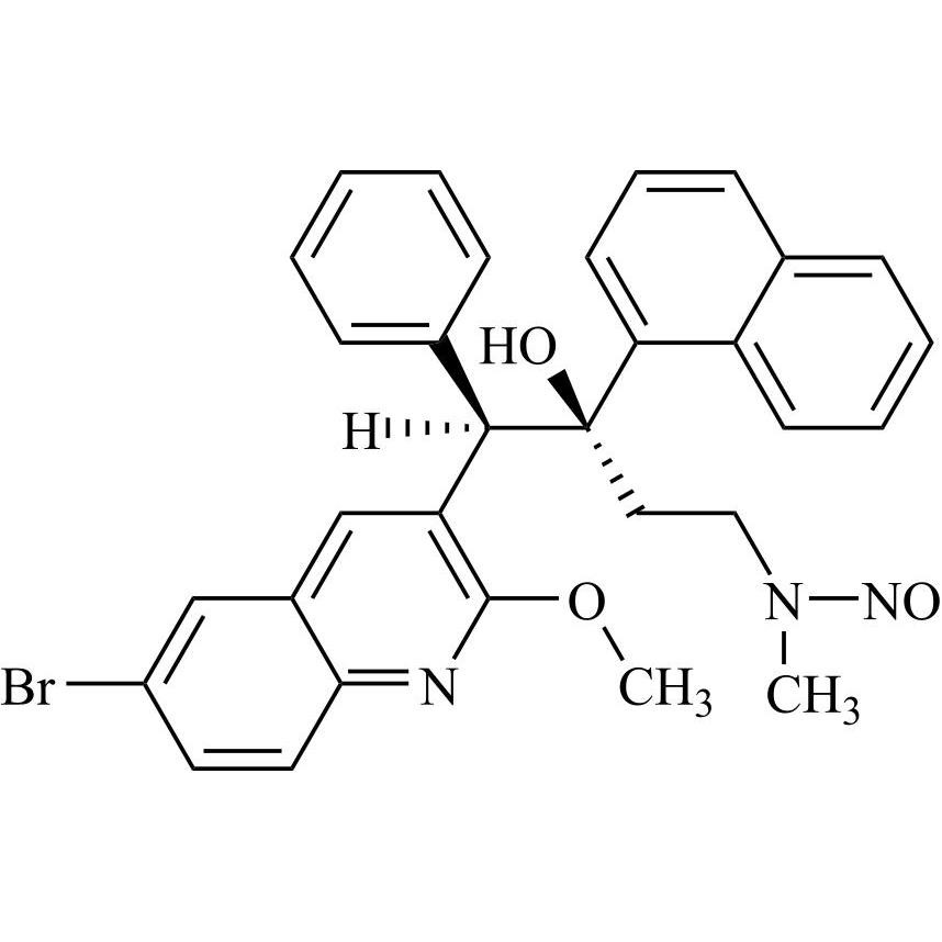
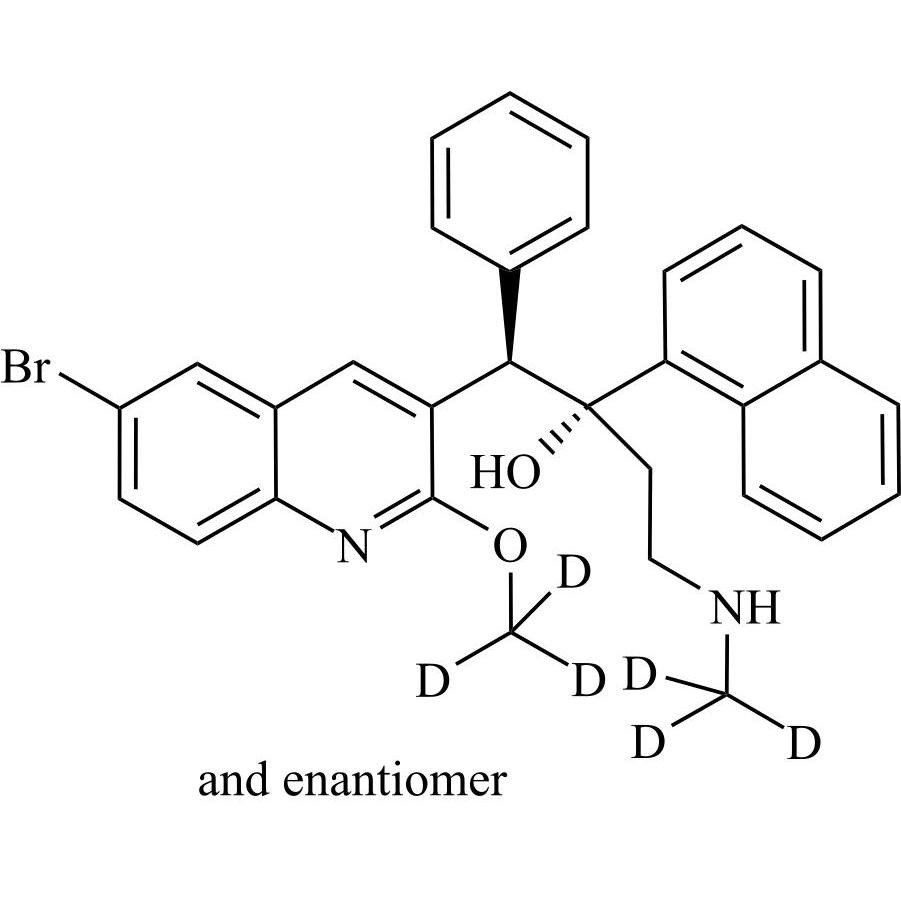
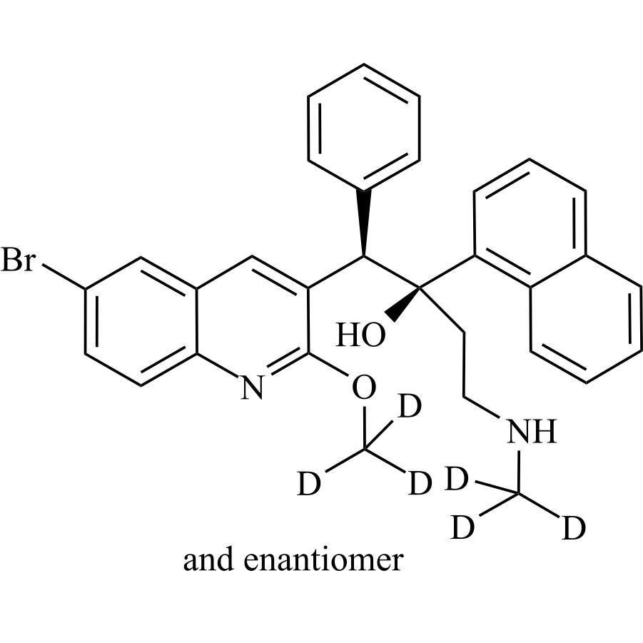
rac-N-Desmethyl Bedaquiline-d6 (Mixture of Diastereomers)

M.F.
M.W. 547.53
CAT# AR-B06129
CAS# 2271264-46-9