Bendamustine Related Products
Axios Research stands at the forefront of pharmaceutical reference standards ingenuity, providing high quality Bendamustine Reference Standards. These include both pharmacopeial and non-pharmacopeial Bendamustine impurities, metabolites, stable isotope products, and nitrosamines. Our Bendamustine impurity reference standards are essential for pharmaceutical research, aiding in product development, ANDA and DMF submissions, quality control (QC), method validation, and stability studies. They are also used in identifying unknown impurities and evaluating genotoxic potential. Our Bendamustine related products are meticulously characterized and come with a comprehensive Certificates of Analysis (COA) and analytical data that comply with regulatory standards.
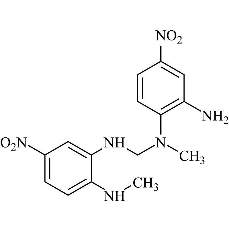
ethyl 4-(5-amino-1-methyl-1H-benzo[d]imidazol-2-yl)butanoate
![Show details for ethyl 4-(5-amino-1-methyl-1H-benzo[d]imidazol-2-yl)butanoate Picture of ethyl 4-(5-amino-1-methyl-1H-benzo[d]imidazol-2-yl)butanoate](https://bc3c83a0874864a50753-7010fd7f2bdf81ab41ee28479491701e.ssl.cf2.rackcdn.com/media//catalog/AR-B01143.jpg?size=256)
M.F.
M.W. 261.35
CAT# AR-B01143
CAS# NA
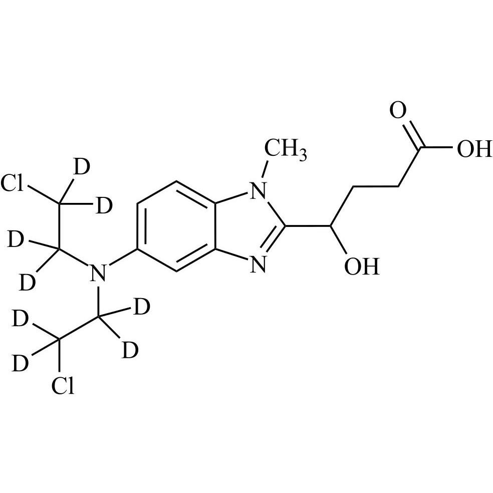
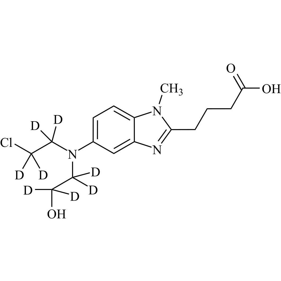
Bendamustine N-Desmethyl Impurity Hydrochloride

M.F.
M.W. 344.24 36.46
CAT# AR-B06204
CAS# 31349-38-9
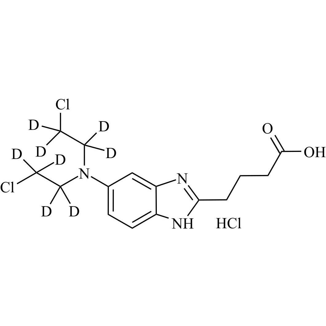
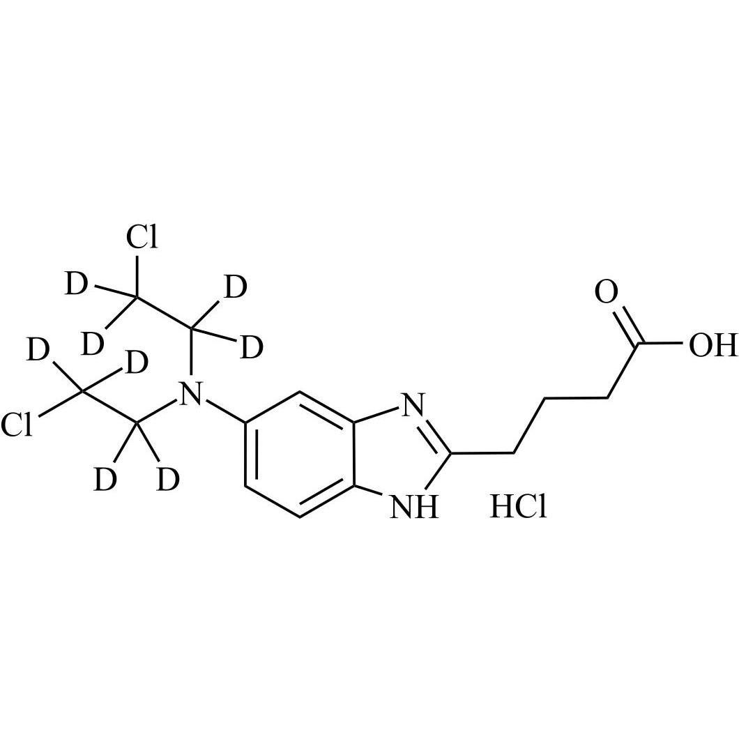
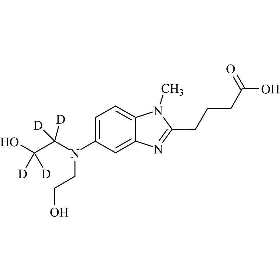
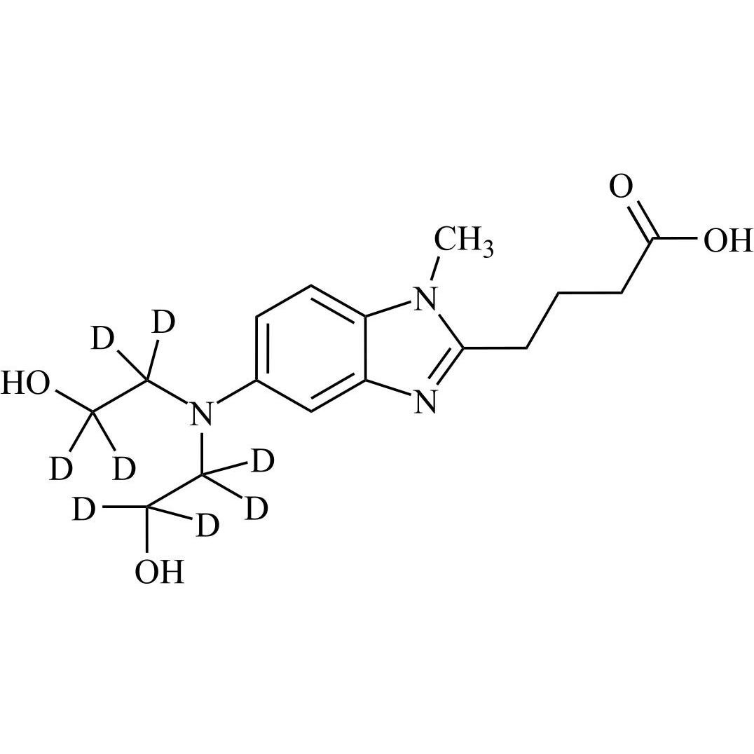
Bendamustine Impurity 5-d8 HCl (Bendamustine Desmethyl Impurity-d8 HCl)

M.F.
M.W. 352.28 36.46
CAT# AR-B06202
CAS# NA