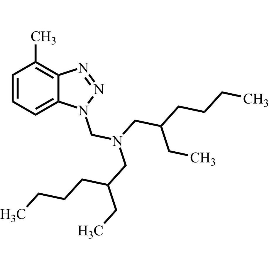
N,N-Bis(2-ethylhexyl)-4-Methyl-1H-Benzotriazole-1-Methylamine
M.F.
M.W. 386.63
CAT# AR-B06814
CAS# 80584-90-3
Axios Research stands at the forefront of pharmaceutical reference standards ingenuity, providing high quality Benzotriazole Reference Standards. These include both pharmacopeial and non-pharmacopeial Benzotriazole impurities, metabolites, stable isotope products, and nitrosamines. Our Benzotriazole impurity reference standards are essential for pharmaceutical research, aiding in product development, ANDA and DMF submissions, quality control (QC), method validation, and stability studies. They are also used in identifying unknown impurities and evaluating genotoxic potential. Our Benzotriazole related products are meticulously characterized and come with a comprehensive Certificates of Analysis (COA) and analytical data that comply with regulatory standards.
M.F.
M.W. 386.63
CAT# AR-B06814
CAS# 80584-90-3
Can't find what you are looking for?
Inquire Now