Beraprost Related Products
Axios Research stands at the forefront of pharmaceutical reference standards ingenuity, providing high quality Beraprost Reference Standards. These include both pharmacopeial and non-pharmacopeial Beraprost impurities, metabolites, stable isotope products, and nitrosamines. Our Beraprost impurity reference standards are essential for pharmaceutical research, aiding in product development, ANDA and DMF submissions, quality control (QC), method validation, and stability studies. They are also used in identifying unknown impurities and evaluating genotoxic potential. Our Beraprost related products are meticulously characterized and come with a comprehensive Certificates of Analysis (COA) and analytical data that comply with regulatory standards.
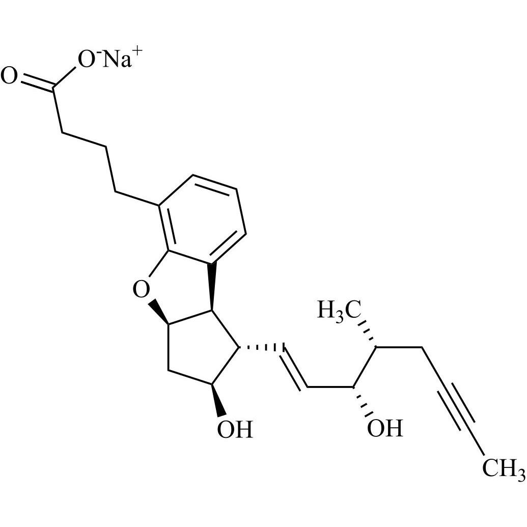
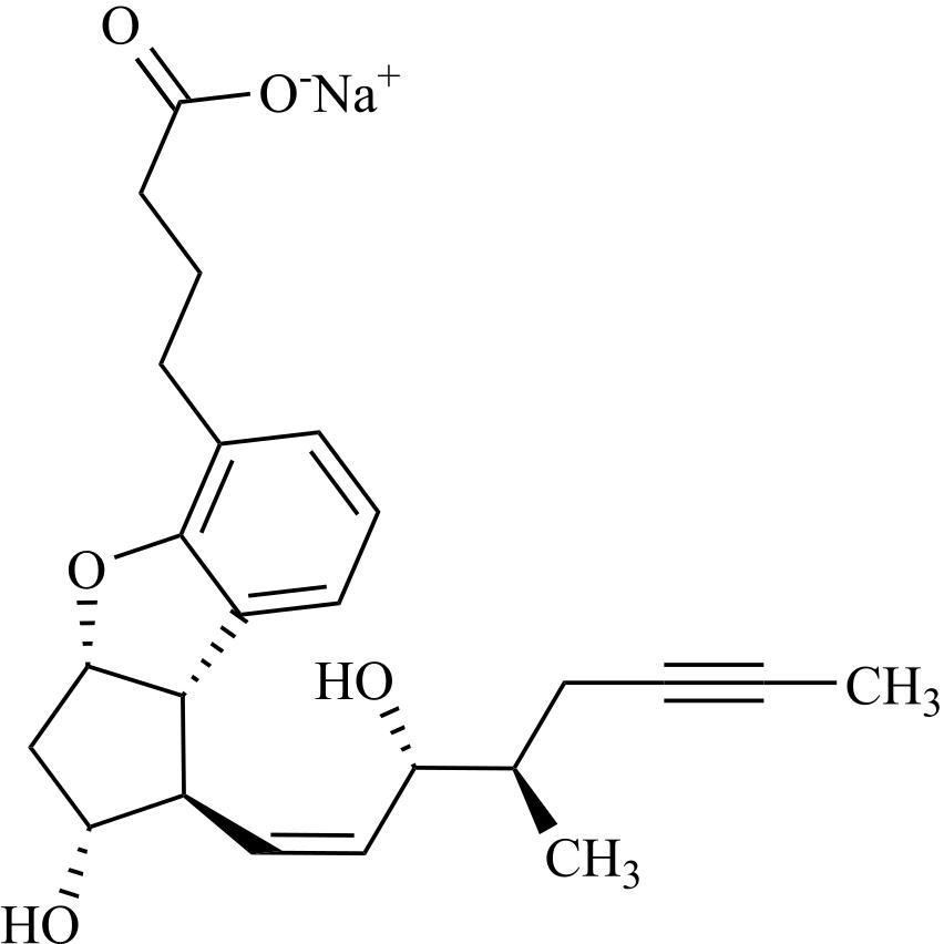
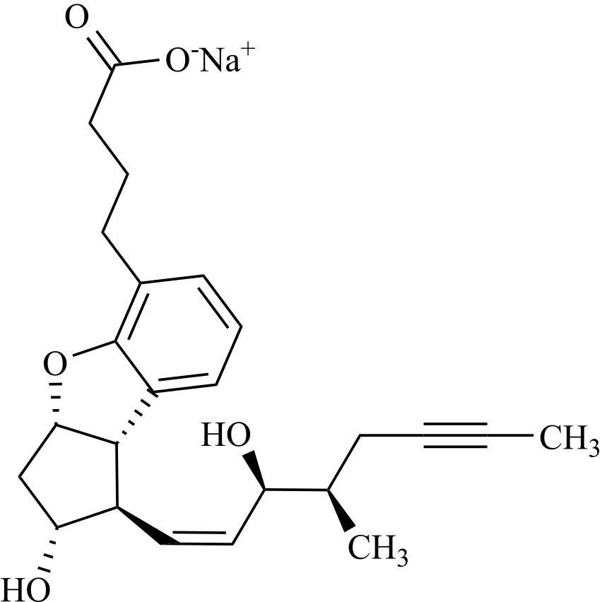
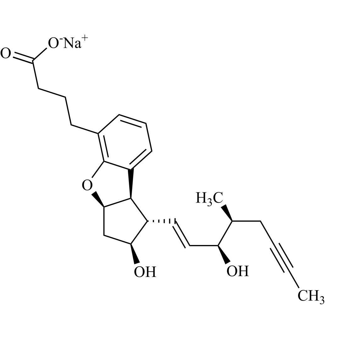
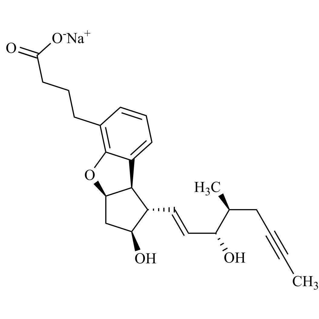
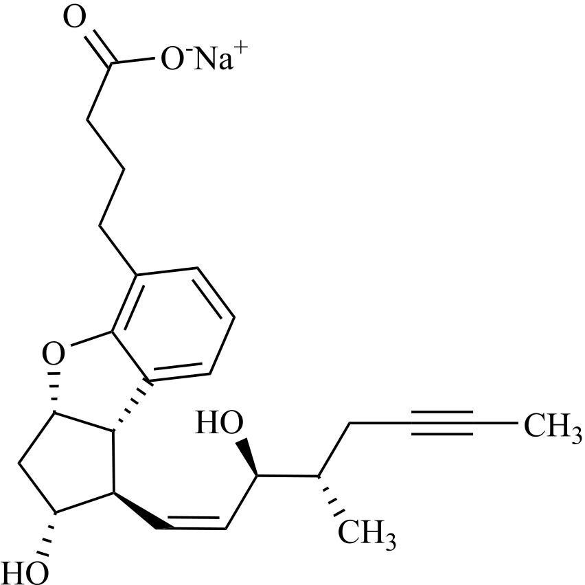
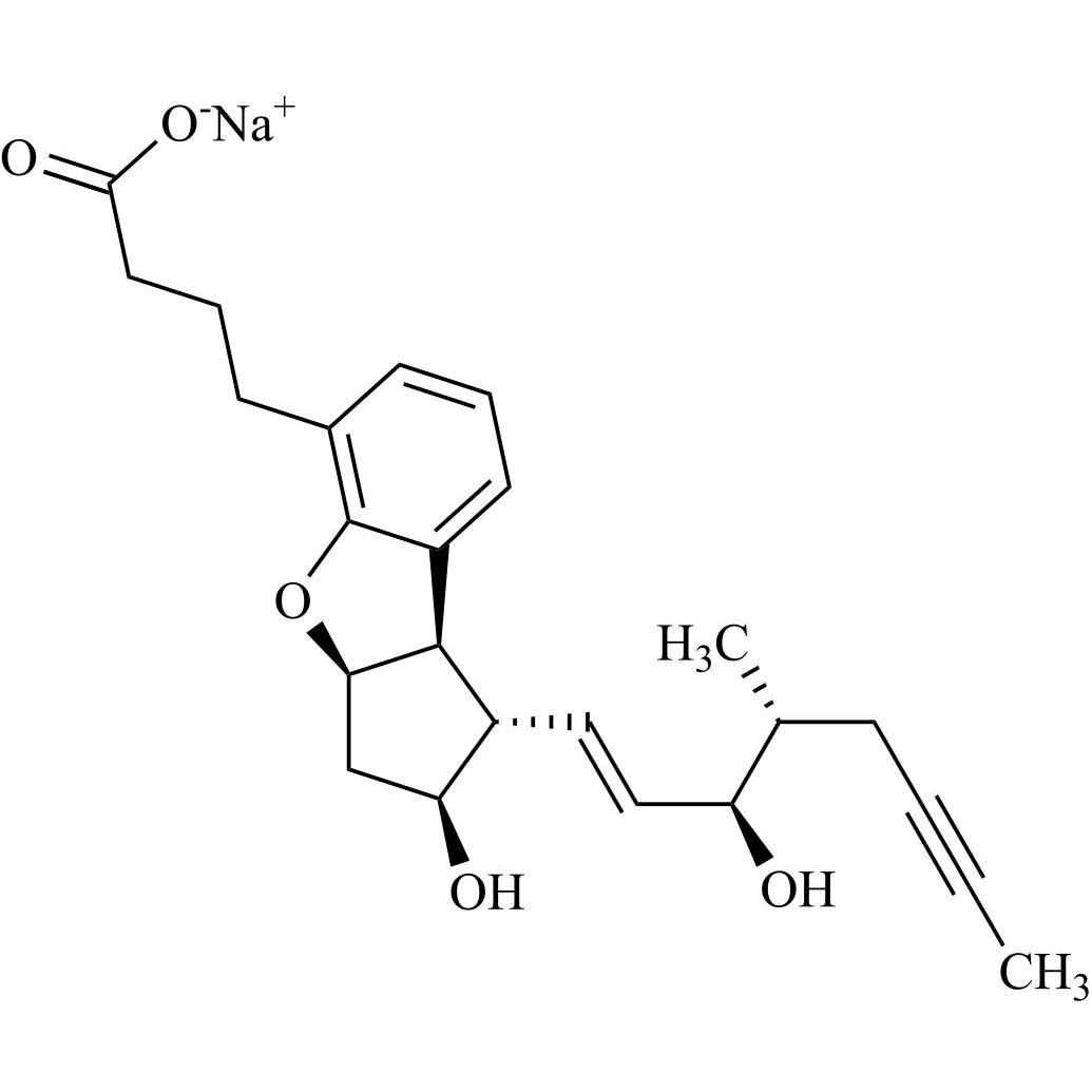
Beraprost Sodium Salt (Mixture of Diastereomers)

M.F.
M.W. 2 397.50 2 22.99
CAT# AR-B06905
CAS# 496807-11-5
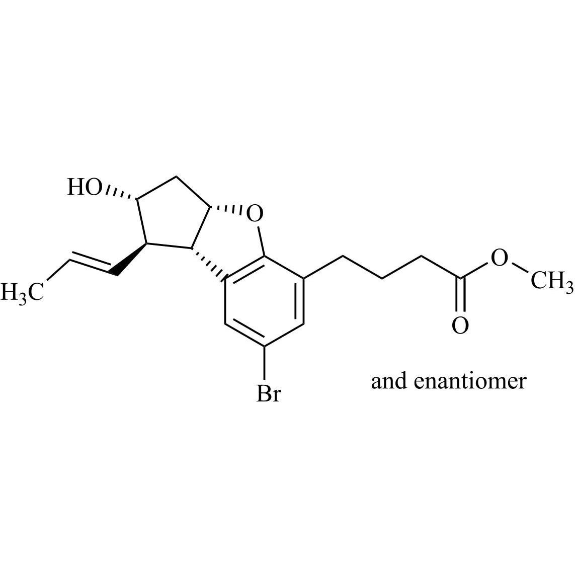
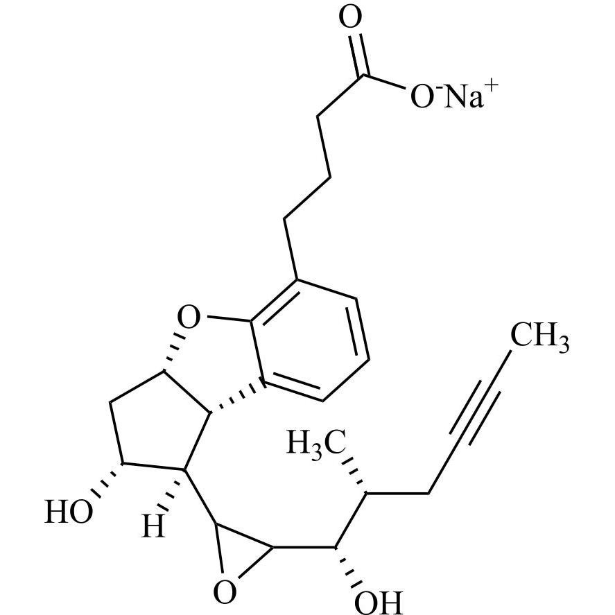
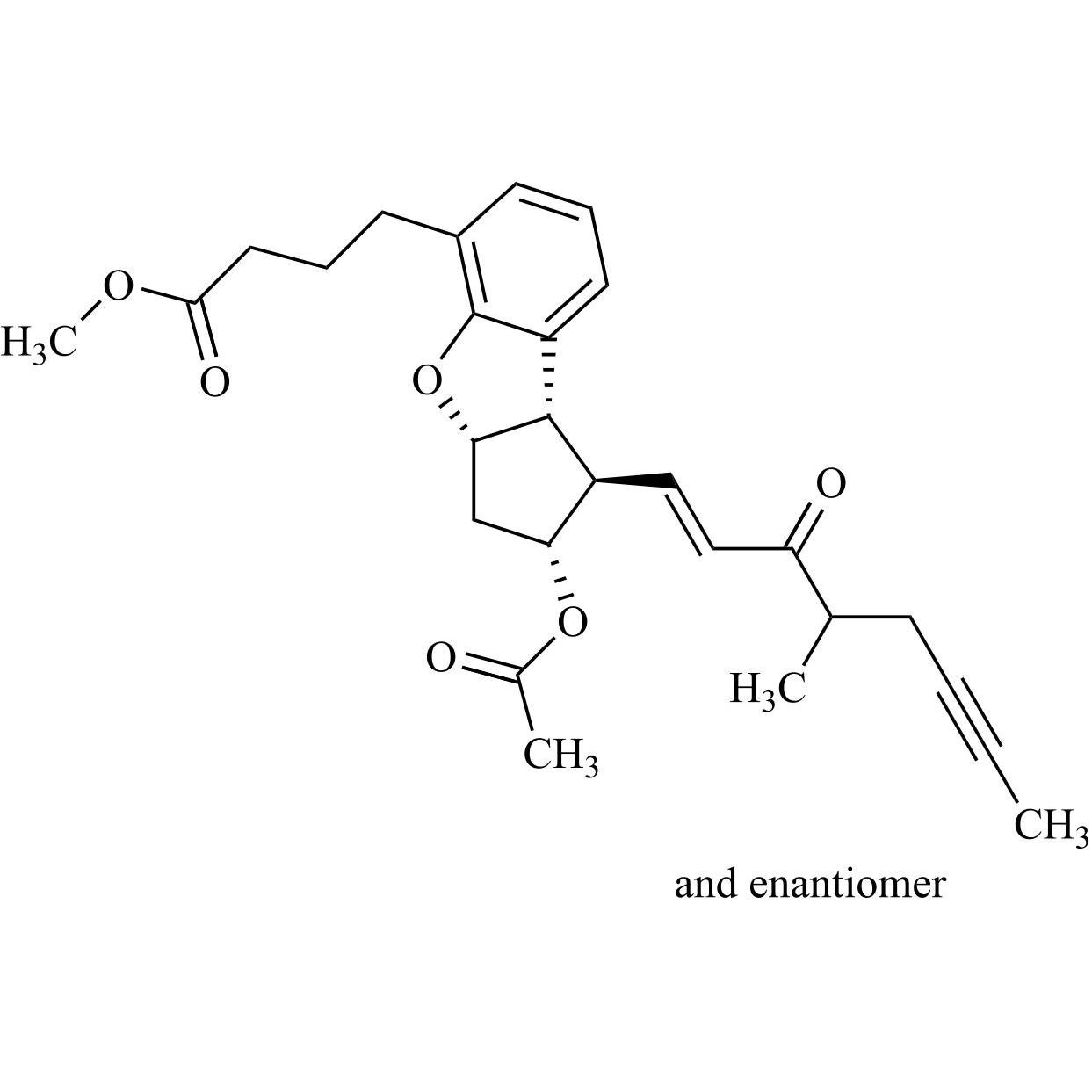
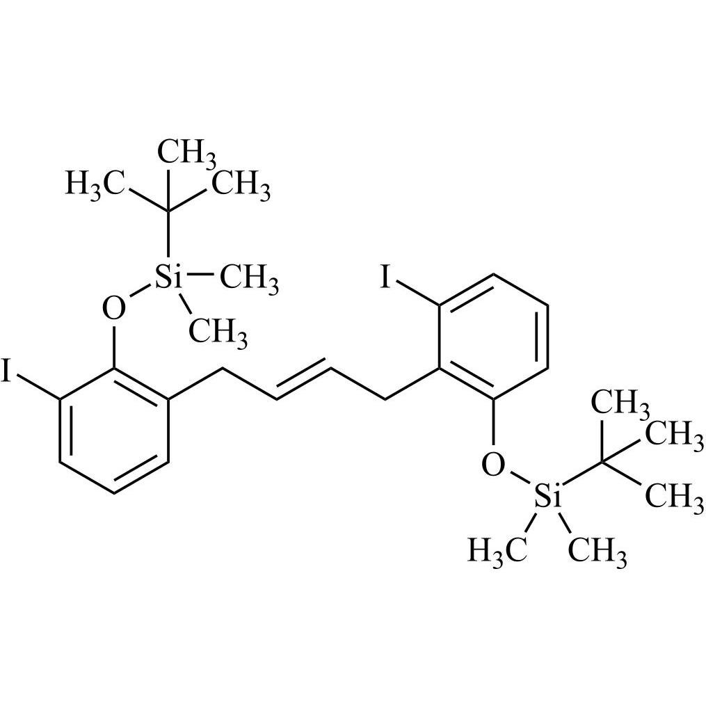
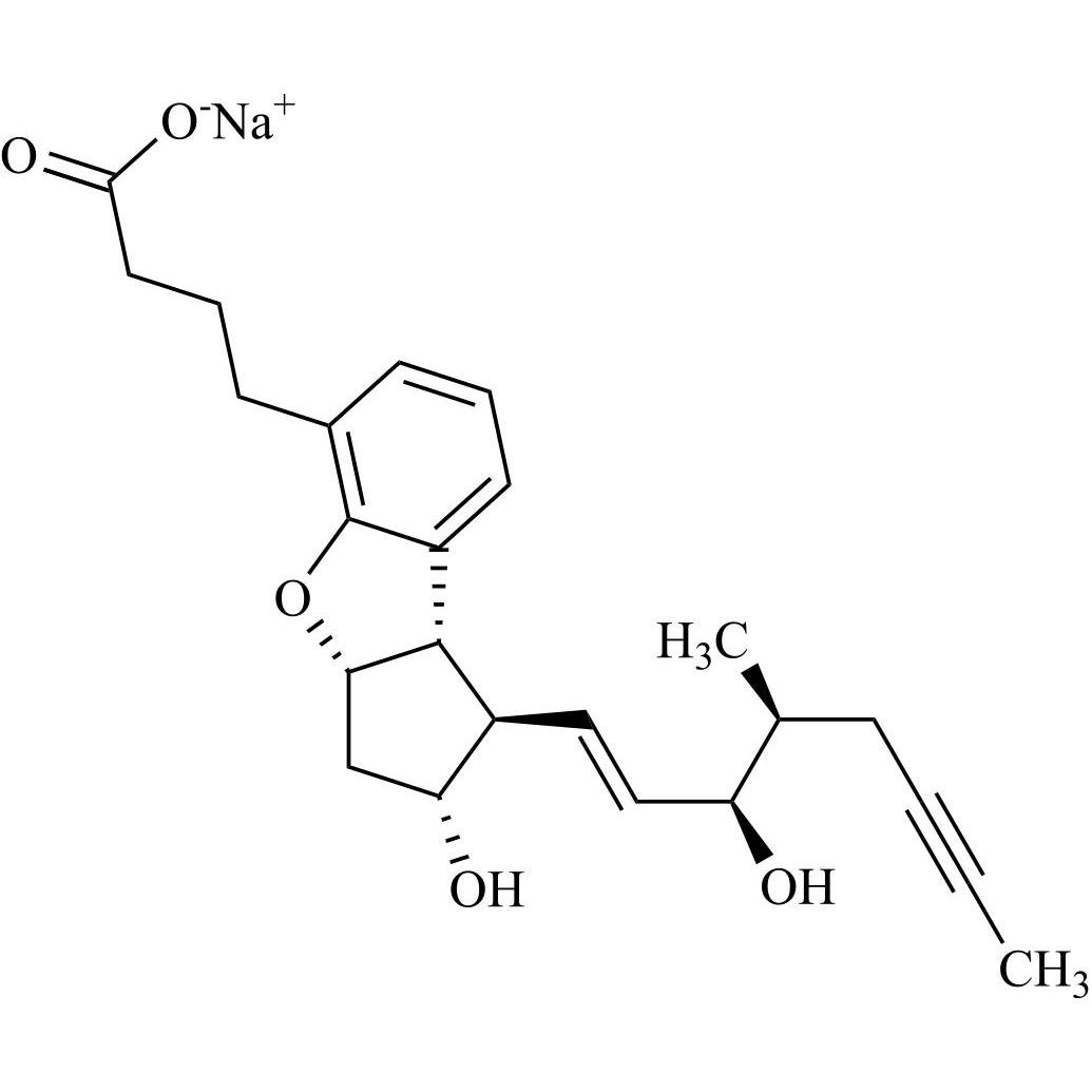
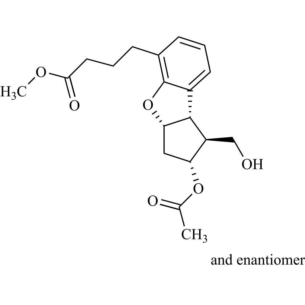
(1S,2R,3aS,8bS)-Beraprost Impurity 37 (Mixture of Diastereomers)

M.F.
M.W. 369.21
CAT# AR-B06908
CAS# NA
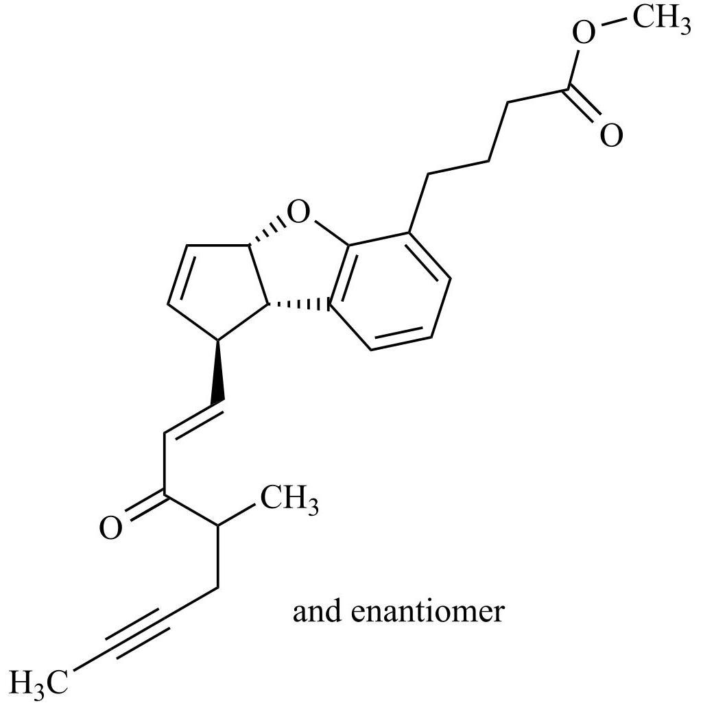
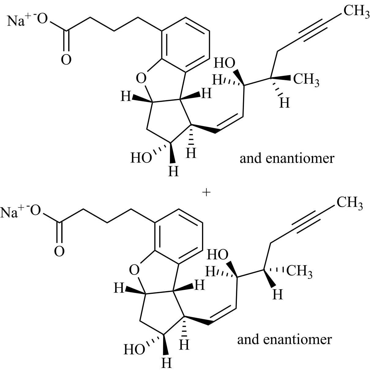
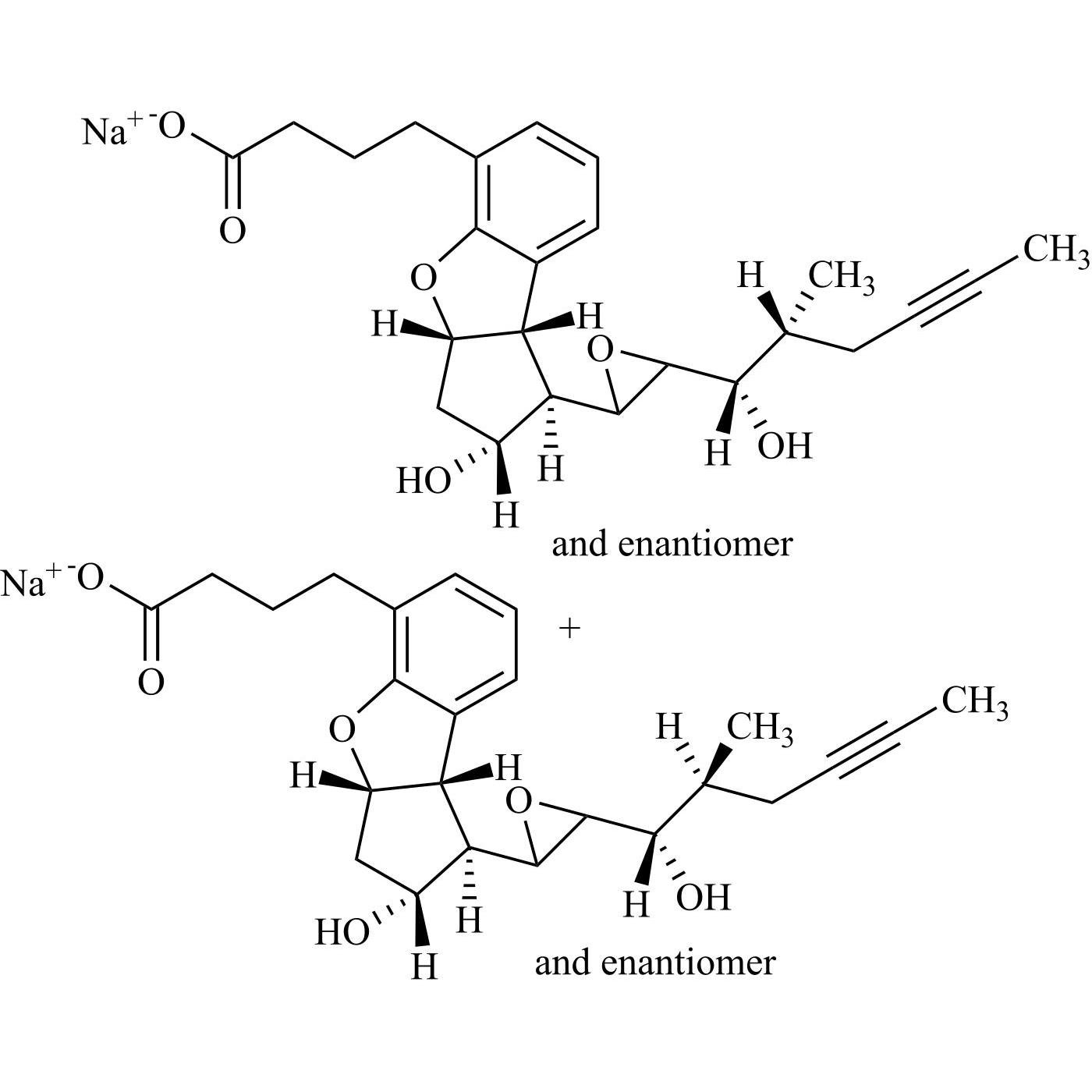
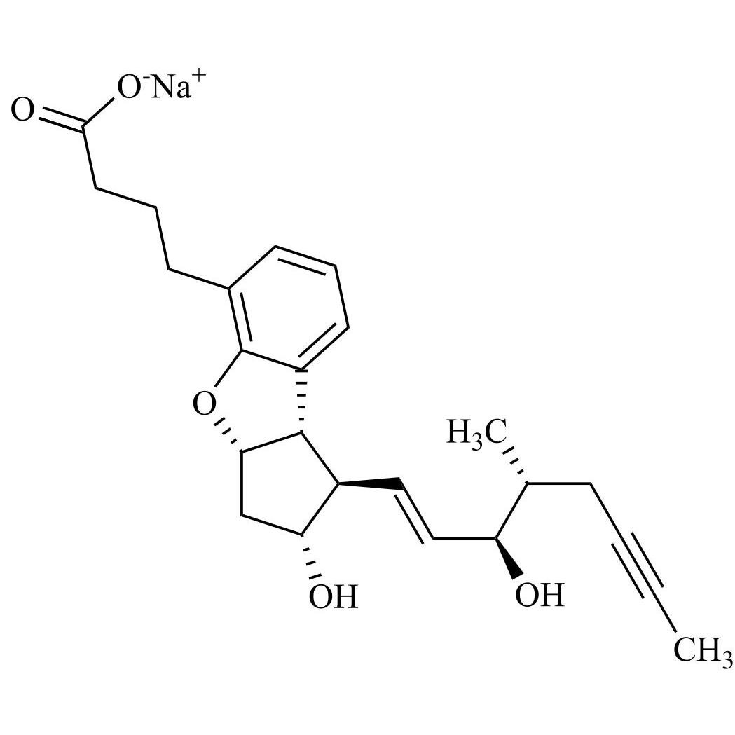
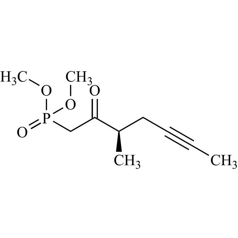
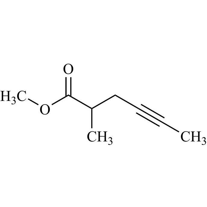
(1R,2S,3aR,8bR)-Beraprost Impurity 37 (Mixture of Diastereomers)

M.F.
M.W. 369.21
CAT# AR-B06909
CAS# NA