Butenafine Related Products
Axios Research stands at the forefront of pharmaceutical reference standards ingenuity, providing high quality Butenafine Reference Standards. These include both pharmacopeial and non-pharmacopeial Butenafine impurities, metabolites, stable isotope products, and nitrosamines. Our Butenafine impurity reference standards are essential for pharmaceutical research, aiding in product development, ANDA and DMF submissions, quality control (QC), method validation, and stability studies. They are also used in identifying unknown impurities and evaluating genotoxic potential. Our Butenafine related products are meticulously characterized and come with a comprehensive Certificates of Analysis (COA) and analytical data that comply with regulatory standards.
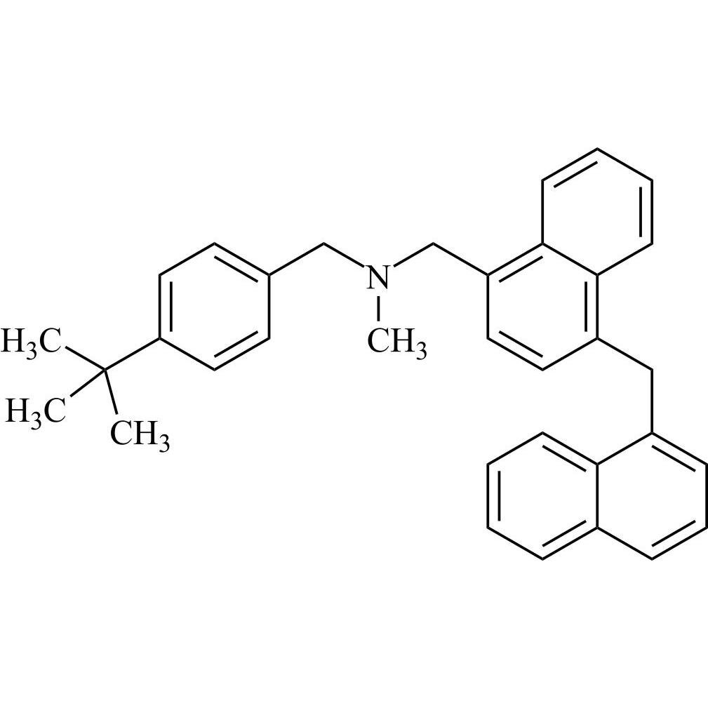
N-Methyl-N-(1-naphthalenylmethyl)-1-naphthalenemethanamine

M.F.
M.W. 311.42
CAT# AR-B02388
CAS# 5418-22-4
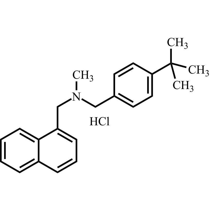
Terbinafine EP Impurity A HCl (Terbinafine USP Related Compound A)

M.F.
M.W. 171.24 36.46
CAT# AR-B02347
CAS# 65473-13-4