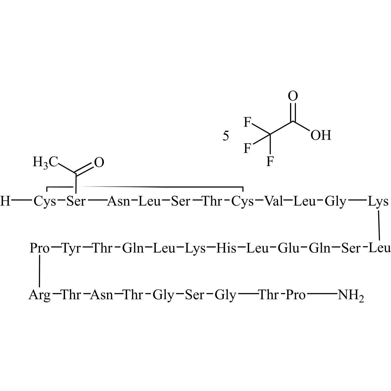
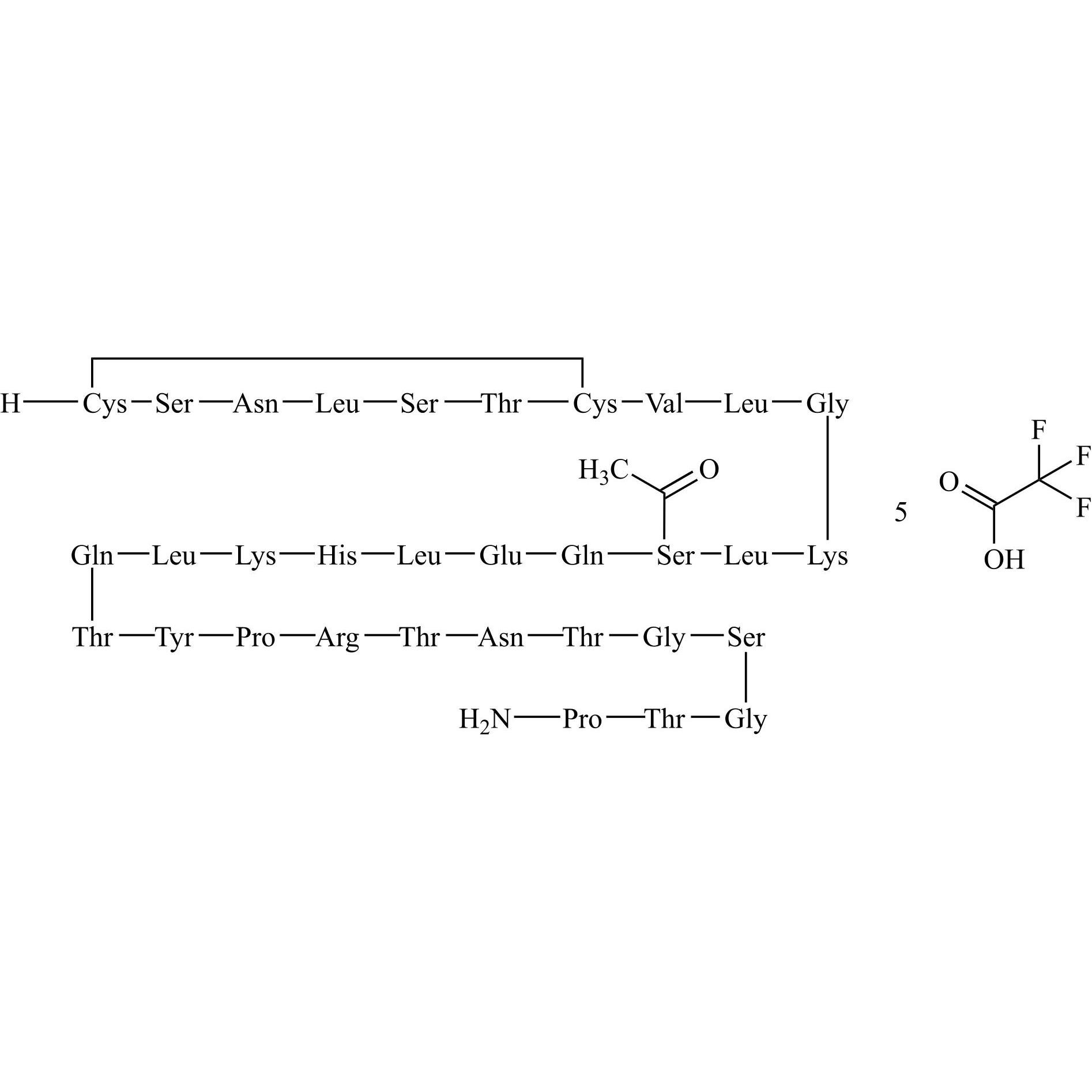
N-Acetyl-cys(1)-calcitonin Salmon Trifluoroacetic Acid
M.F.
M.W. 3474.94 ; 4(114.02)
CAT# AR-C05204
CAS# NA
Axios Research stands at the forefront of pharmaceutical reference standards ingenuity, providing high quality Calcitonin Reference Standards. These include both pharmacopeial and non-pharmacopeial Calcitonin impurities, metabolites, stable isotope products, and nitrosamines. Our Calcitonin impurity reference standards are essential for pharmaceutical research, aiding in product development, ANDA and DMF submissions, quality control (QC), method validation, and stability studies. They are also used in identifying unknown impurities and evaluating genotoxic potential. Our Calcitonin related products are meticulously characterized and come with a comprehensive Certificates of Analysis (COA) and analytical data that comply with regulatory standards.
M.F.
M.W. 3474.94 ; 4(114.02)
CAT# AR-C05204
CAS# NA
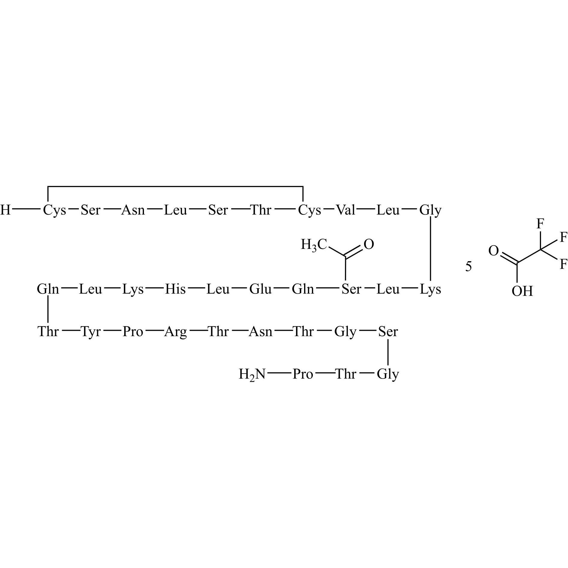
M.F.
M.W. 3089.5
CAT# AR-C05759
CAS# NA
M.F.
M.W. 3473.93
CAT# AR-C05763
CAS# NA
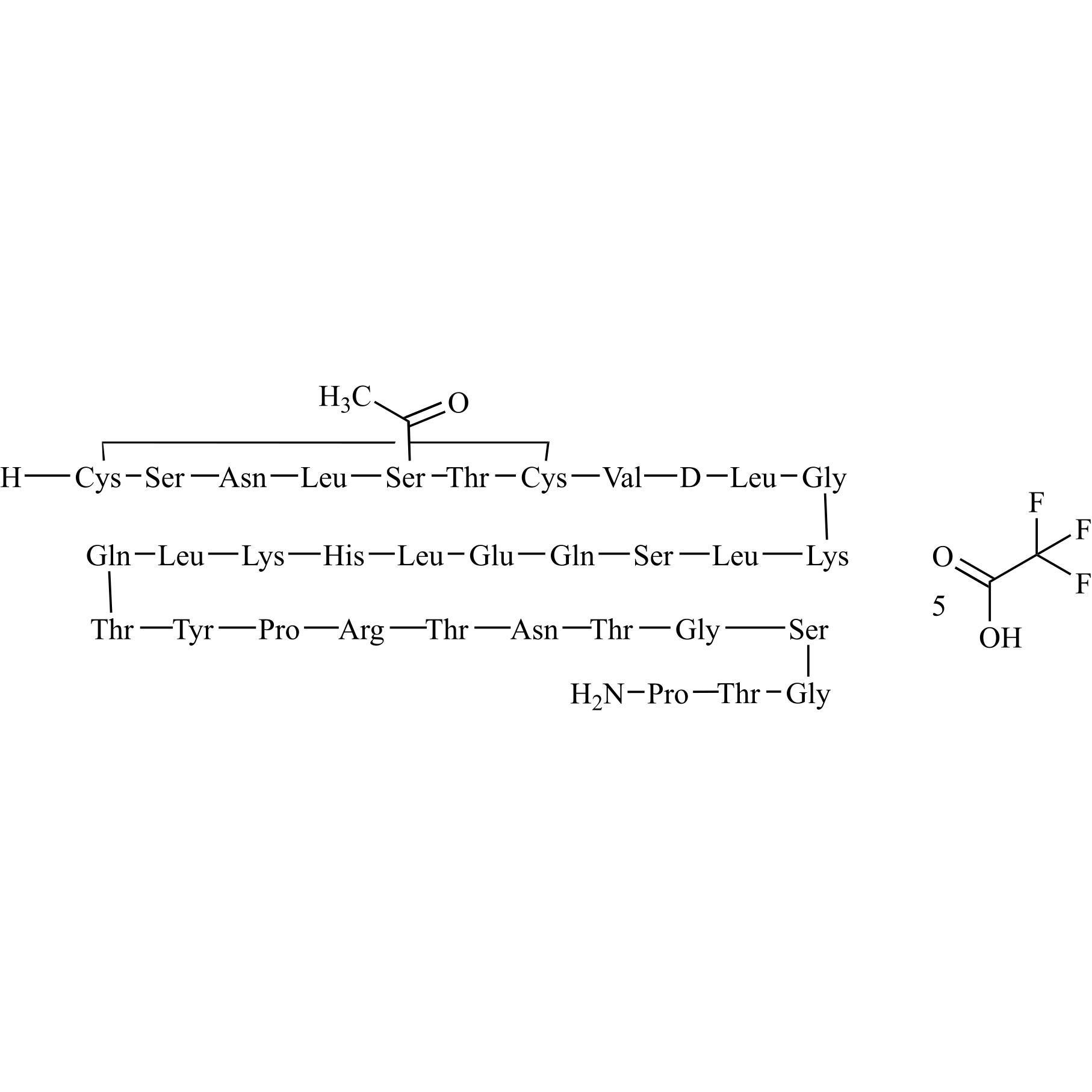
M.F.
M.W. 3431.90 5*114.02
CAT# AR-C05766
CAS# NA
M.F.
M.W. 3473.93 5*114.02
CAT# AR-C05769
CAS# NA
M.F.
M.W. 3473.93 5*114.02
CAT# AR-C05775
CAS# NA
M.F.
M.W. 3473.93 5*114.02
CAT# AR-C05776
CAS# NA
M.F.
M.W. 3268.72 5*114.02
CAT# AR-C05768
CAS# NA
M.F.
M.W. 3463.96 5*114.02
CAT# AR-C05770
CAS# NA
M.F.
M.W. 3489.93 5*114.02
CAT# AR-C05772
CAS# NA
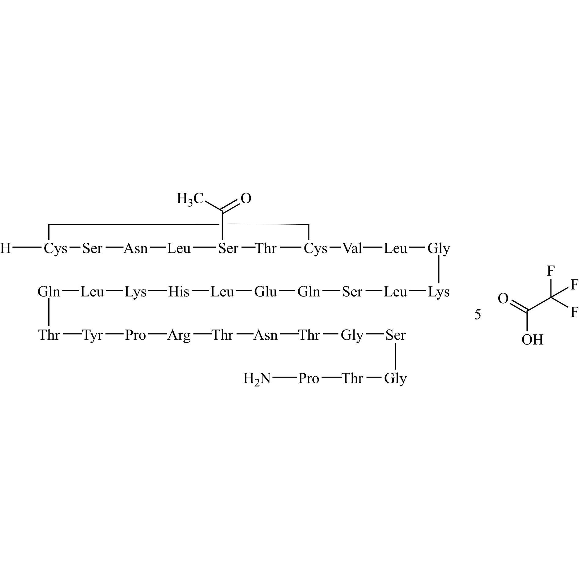
M.F.
M.W. 3473.93 4*114.02
CAT# AR-C05767
CAS# NA
Can't find what you are looking for?
Inquire Now