Carbocisteine Related Products
Axios Research stands at the forefront of pharmaceutical reference standards ingenuity, providing high quality Carbocisteine Reference Standards. These include both pharmacopeial and non-pharmacopeial Carbocisteine impurities, metabolites, stable isotope products, and nitrosamines. Our Carbocisteine impurity reference standards are essential for pharmaceutical research, aiding in product development, ANDA and DMF submissions, quality control (QC), method validation, and stability studies. They are also used in identifying unknown impurities and evaluating genotoxic potential. Our Carbocisteine related products are meticulously characterized and come with a comprehensive Certificates of Analysis (COA) and analytical data that comply with regulatory standards.
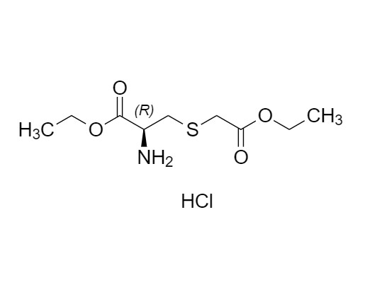
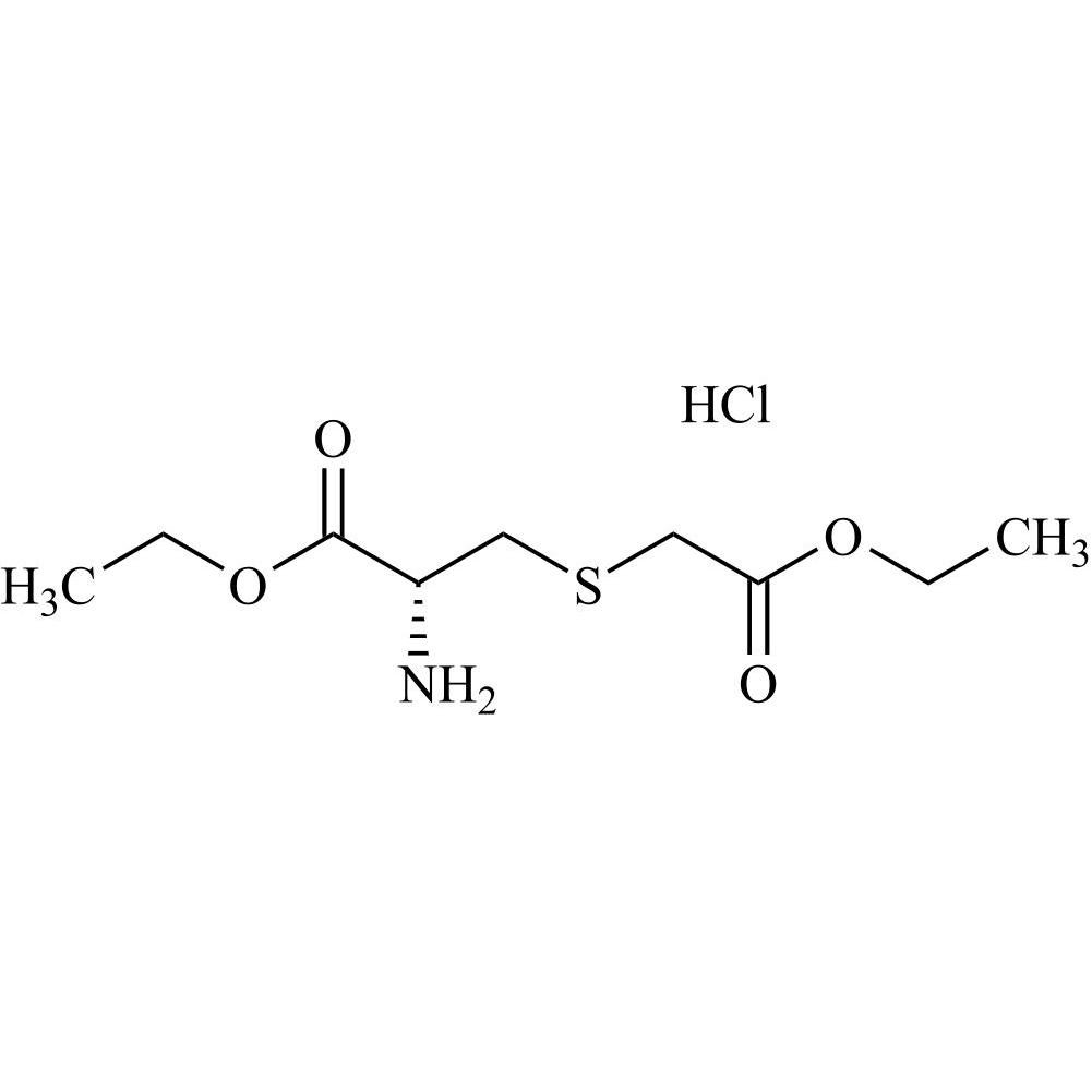
Carbocisteine Diethyl Ester Hydrochloride
M.F.
M.W. 235.3 : 36.5
CAT# AR-C05395
CAS# 92282-33-2 (HCl Salt)
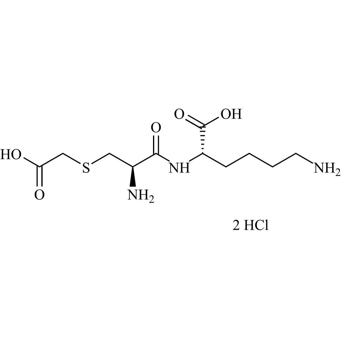
Carbocisteine Impurity 14 DiHCl (Carbocysteine Lysine DiHCl)
M.F.
M.W. 307.37 2*36.46
CAT# AR-C06133
CAS# NA