Cariprazine Related Products
Axios Research stands at the forefront of pharmaceutical reference standards ingenuity, providing high quality Cariprazine Reference Standards. These include both pharmacopeial and non-pharmacopeial Cariprazine impurities, metabolites, stable isotope products, and nitrosamines. Our Cariprazine impurity reference standards are essential for pharmaceutical research, aiding in product development, ANDA and DMF submissions, quality control (QC), method validation, and stability studies. They are also used in identifying unknown impurities and evaluating genotoxic potential. Our Cariprazine related products are meticulously characterized and come with a comprehensive Certificates of Analysis (COA) and analytical data that comply with regulatory standards.
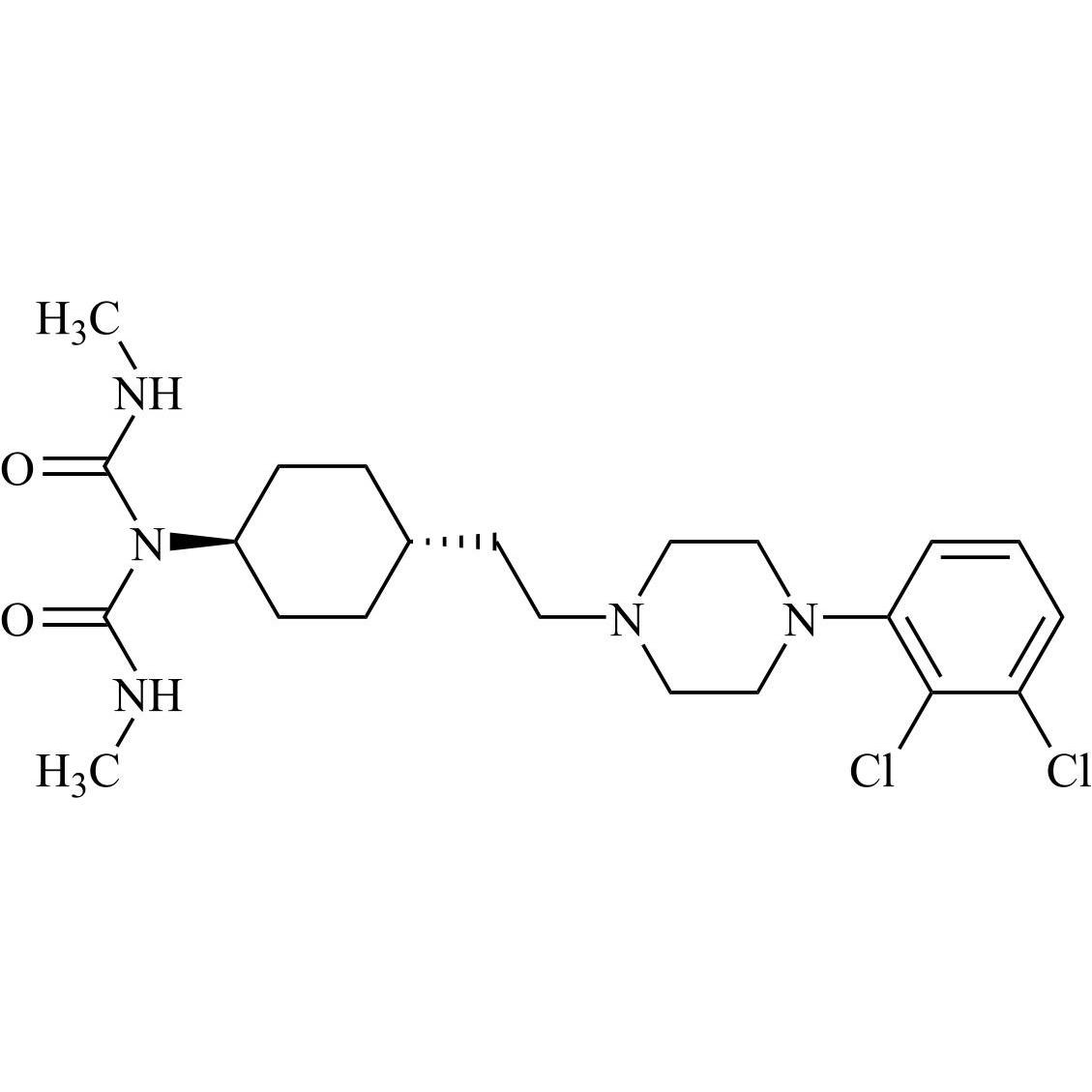
Cariprazine Impurity 19 (Cariprazine Ethyl methyl impurity)

M.F.
M.W. 441.44
CAT# AR-C05566
CAS# 839712-23-1
Cariprazine Impurity 17 (Carbamoyl weinred impurity)

M.F.
M.W. 271.36
CAT# AR-C05563
CAS# 2268787-30-8
Cariprazine Impurity 18 (Caripazine Acetyl impurity)

M.F.
M.W. 398.37
CAT# AR-C05564
CAS# 1092822-52-0
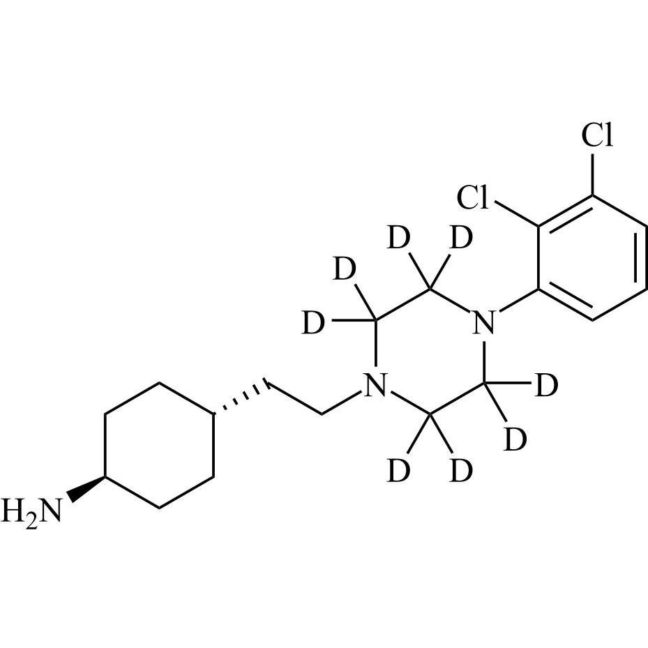
trans-4-[2-[4-(2,3-Dichlorophenyl)piperazin-1-yl]ethyl]cyclohexanamine
![Show details for trans-4-[2-[4-(2,3-Dichlorophenyl)piperazin-1-yl]ethyl]cyclohexanamine Picture of trans-4-[2-[4-(2,3-Dichlorophenyl)piperazin-1-yl]ethyl]cyclohexanamine](https://bc3c83a0874864a50753-7010fd7f2bdf81ab41ee28479491701e.ssl.cf2.rackcdn.com/media//catalog/AR-C01461.jpg?size=256)
M.F.
M.W. 356.34
CAT# AR-C01461
CAS# 791778-53-5