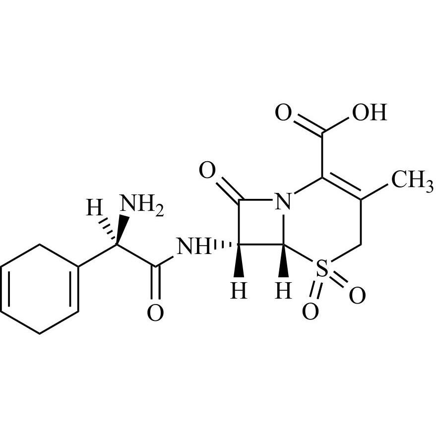
Cefradine Related Products
Axios Research stands at the forefront of pharmaceutical reference standards ingenuity, providing high quality Cefradine Reference Standards. These include both pharmacopeial and non-pharmacopeial Cefradine impurities, metabolites, stable isotope products, and nitrosamines. Our Cefradine impurity reference standards are essential for pharmaceutical research, aiding in product development, ANDA and DMF submissions, quality control (QC), method validation, and stability studies. They are also used in identifying unknown impurities and evaluating genotoxic potential. Our Cefradine related products are meticulously characterized and come with a comprehensive Certificates of Analysis (COA) and analytical data that comply with regulatory standards.
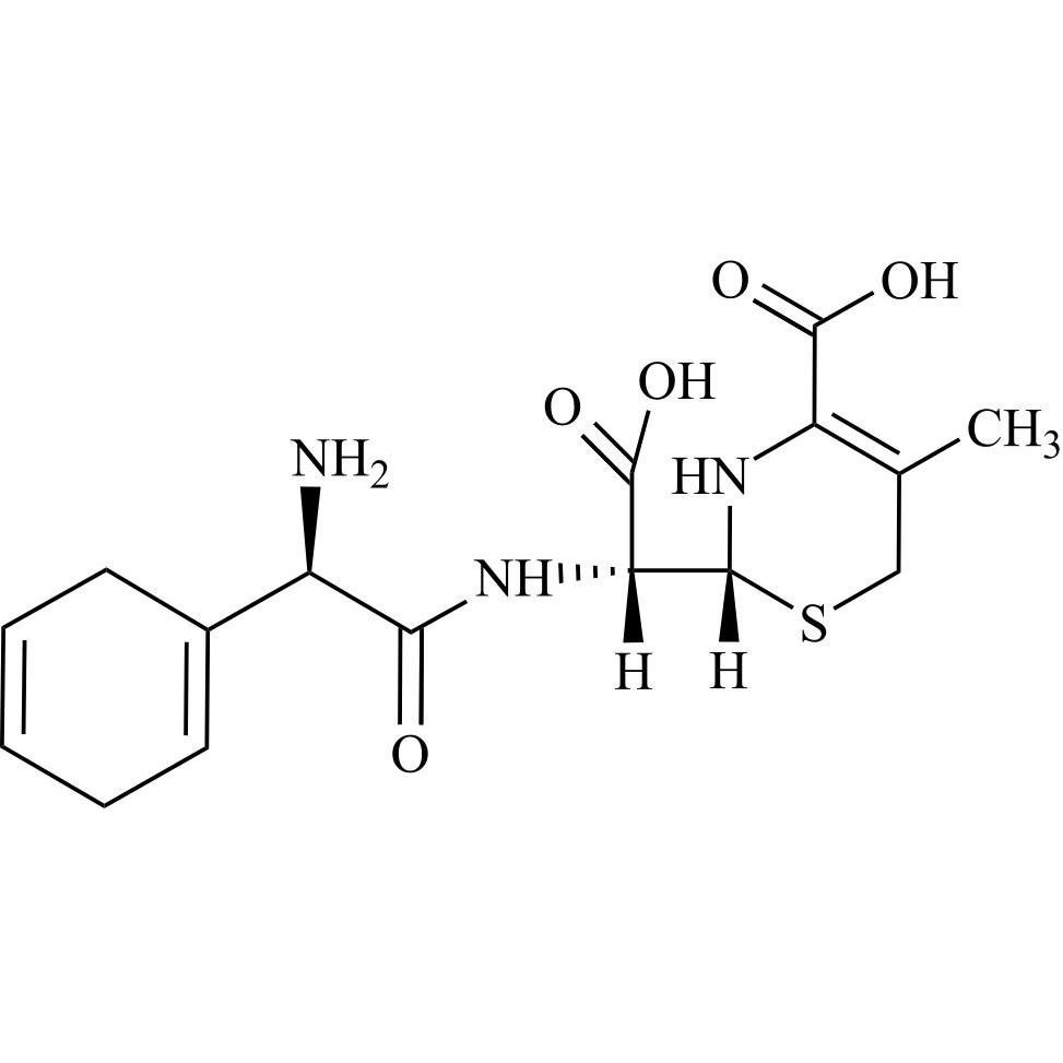
Cefradine Impurity C (Isomer 1), Cefradine Impurity D (Isomer 2)

M.F.
M.W. 365.41
CAT# AR-C02023
CAS# N/A
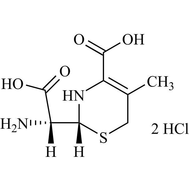
2-Amino-2-Cyclohex-1-enyl-Propionic Acid Methyl Ester HCl

M.F.
M.W. 183.25 36.46
CAT# AR-C02027
CAS# 1379292-16-6 (free base)
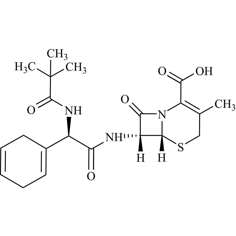
Cefradine EP Impurity F (Cefadroxil EP Impurity G, Cephalexin EP Impurity D)

M.F.
M.W. 130.16
CAT# AR-C02029
CAS# 34876-35-2