Clarithromycin Related Products
Axios Research stands at the forefront of pharmaceutical reference standards ingenuity, providing high quality Clarithromycin Reference Standards. These include both pharmacopeial and non-pharmacopeial Clarithromycin impurities, metabolites, stable isotope products, and nitrosamines. Our Clarithromycin impurity reference standards are essential for pharmaceutical research, aiding in product development, ANDA and DMF submissions, quality control (QC), method validation, and stability studies. They are also used in identifying unknown impurities and evaluating genotoxic potential. Our Clarithromycin related products are meticulously characterized and come with a comprehensive Certificates of Analysis (COA) and analytical data that comply with regulatory standards.
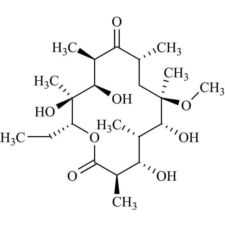
Clarithromycin EP Impurity D (N-Desmethyl Clarithromycin)

M.F.
M.W. 733.94
CAT# AR-C03024
CAS# 101666-68-6
Clarithromycin USP Impurity Q (Clarithromycin N-Oxide)

M.F.
M.W. 763.96
CAT# AR-C03026
CAS# 118074-07-0
Clarithromycin EP Impurity G (Mixture of Z and E Isomers)

M.F.
M.W. 777.01
CAT# AR-E00998
CAS# 107216-09-1
N-(3-Desethynylphenyl)-N-(3-bromophenyl) Erlotinib Hydrochloride

M.F.
M.W. 448.31 36.5
CAT# AR-E02315
CAS# 2055840-41-8
Clarithromycin Impurity 3 (6-O-methylerythronolide A)

M.F.
M.W. 432.55
CAT# AR-C07824
CAS# 2376120-29-3