Clemastine Related Products
Axios Research stands at the forefront of pharmaceutical reference standards ingenuity, providing high quality Clemastine Reference Standards. These include both pharmacopeial and non-pharmacopeial Clemastine impurities, metabolites, stable isotope products, and nitrosamines. Our Clemastine impurity reference standards are essential for pharmaceutical research, aiding in product development, ANDA and DMF submissions, quality control (QC), method validation, and stability studies. They are also used in identifying unknown impurities and evaluating genotoxic potential. Our Clemastine related products are meticulously characterized and come with a comprehensive Certificates of Analysis (COA) and analytical data that comply with regulatory standards.
rac-Clemastine Fumarate EP Impurity B HCl

M.F.
M.W. 343.90 36.46
CAT# AR-C03059
CAS# 61771-18-4 (free base)
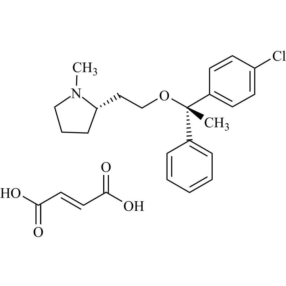
Clemastine EP Impurity A Fumarate (Clemastine N-Oxide Fumarate) (Mixture of Diastereomers)

M.F.
M.W. 359.89 116.07
CAT# AR-C07872
CAS# NA