Cortisol Related Products
Axios Research stands at the forefront of pharmaceutical reference standards ingenuity, providing high quality Cortisol Reference Standards. These include both pharmacopeial and non-pharmacopeial Cortisol impurities, metabolites, stable isotope products, and nitrosamines. Our Cortisol impurity reference standards are essential for pharmaceutical research, aiding in product development, ANDA and DMF submissions, quality control (QC), method validation, and stability studies. They are also used in identifying unknown impurities and evaluating genotoxic potential. Our Cortisol related products are meticulously characterized and come with a comprehensive Certificates of Analysis (COA) and analytical data that comply with regulatory standards.
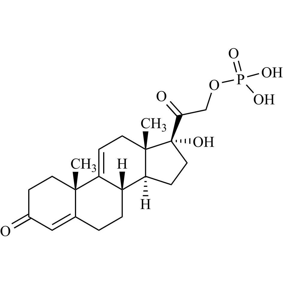
Hydrocortisone Impurity 44 Disodium Salt (Mixture of Diastereomers)

M.F.
M.W. 456.43 2*22.99
CAT# AR-C08349
CAS# NA
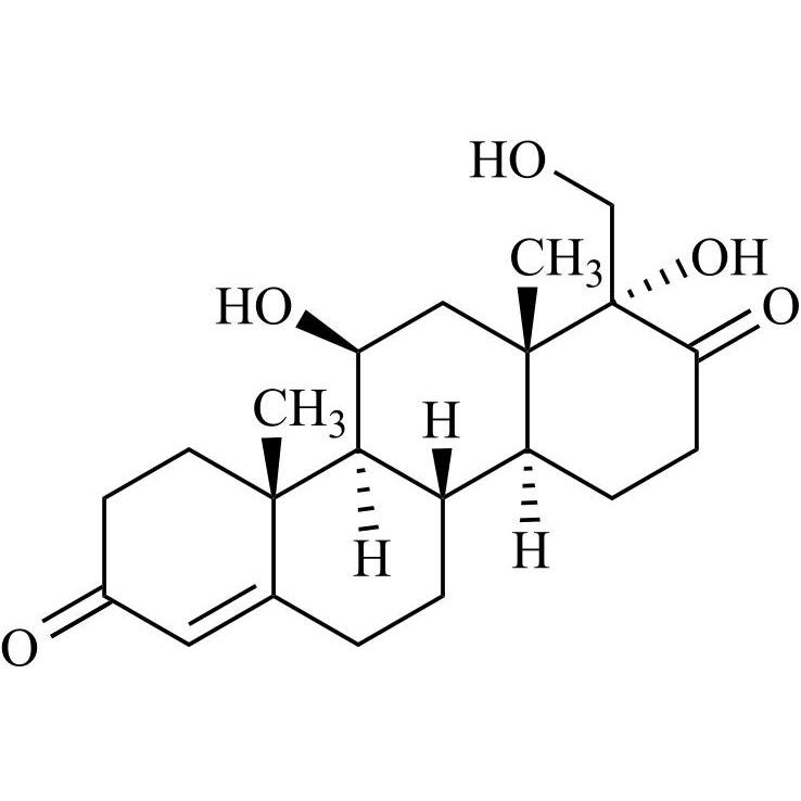
Hydrocortisone Impurity 46 (Mixture of Diastereomers)

M.F.
M.W. 362.47
CAT# AR-C08350
CAS# 75879-79-7
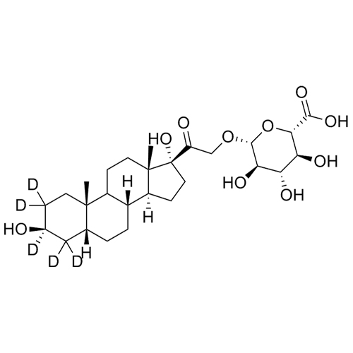
Tetrahydro-11-deoxy Cortisol 21-O-beta-D-Glucuronide-d5

M.F.
M.W. 531.65
CAT# AR-C03598
CAS# 56162-38-0 (non-labelled)
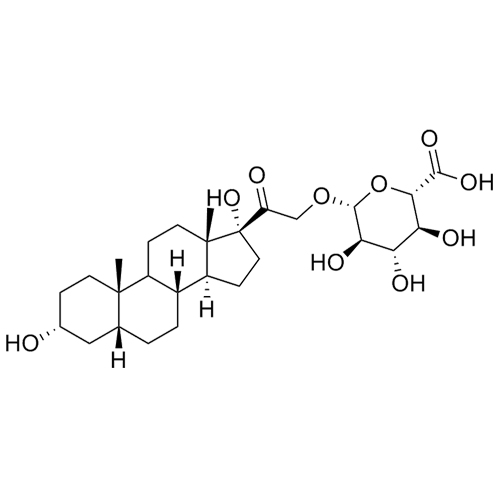
Tetrahydro-11-deoxy Cortisol 21-O-beta-D-Glucuronide

M.F.
M.W. 526.62
CAT# AR-C03597
CAS# 56162-38-0