Cyclohexanone Related Products
Axios Research stands at the forefront of pharmaceutical reference standards ingenuity, providing high quality Cyclohexanone Reference Standards. These include both pharmacopeial and non-pharmacopeial Cyclohexanone impurities, metabolites, stable isotope products, and nitrosamines. Our Cyclohexanone impurity reference standards are essential for pharmaceutical research, aiding in product development, ANDA and DMF submissions, quality control (QC), method validation, and stability studies. They are also used in identifying unknown impurities and evaluating genotoxic potential. Our Cyclohexanone related products are meticulously characterized and come with a comprehensive Certificates of Analysis (COA) and analytical data that comply with regulatory standards.
Methyl 4-hydroxy-4-methyl-2-(3-nitrophenyl)-6-oxocyclohexane-1-carboxylate

M.F.
M.W. 307.30
CAT# AR-C08610
CAS# NA
(1S,4S)-1-Methyl-4-(1-methylethenyl)-2-Cyclohexen-1-ol

M.F.
M.W. 152.24
CAT# AR-C08624
CAS# 425394-92-9
(1S,6R)-3-Methyl-6-(1-methylethenyl)-2-Cyclohexen-1-ol

M.F.
M.W. 152.24
CAT# AR-C08625
CAS# 74410-00-7
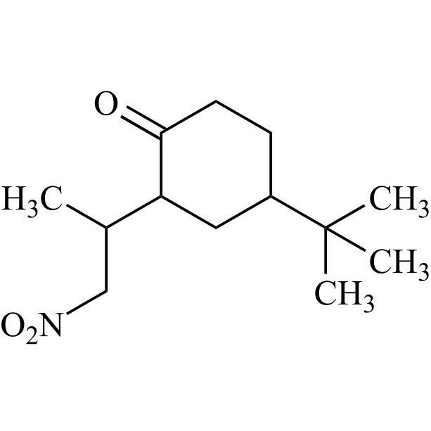
4-tert-Butyl-2-(1-methyl-2-nitroethyl) Cyclohexanone

M.F.
M.W. 241.33
CAT# AR-C08612
CAS# 1310686-07-7