Diphenhydramine Related Products
Axios Research stands at the forefront of pharmaceutical reference standards ingenuity, providing high quality Diphenhydramine Reference Standards. These include both pharmacopeial and non-pharmacopeial Diphenhydramine impurities, metabolites, stable isotope products, and nitrosamines. Our Diphenhydramine impurity reference standards are essential for pharmaceutical research, aiding in product development, ANDA and DMF submissions, quality control (QC), method validation, and stability studies. They are also used in identifying unknown impurities and evaluating genotoxic potential. Our Diphenhydramine related products are meticulously characterized and come with a comprehensive Certificates of Analysis (COA) and analytical data that comply with regulatory standards.
Diphenhydramine EP Impurity B HCl (Orphenadrine EP Impurity F HCl)

M.F.
M.W. 269.39; 36.46
CAT# AR-D01943
CAS# 4024-34-4
N-Nitroso Diphenhydramine EP Impurity A (N-Nitroso Dimenhydrinate EP Impurity F)

M.F.
M.W. 270.33
CAT# AR-D06086
CAS# 55855-43-1
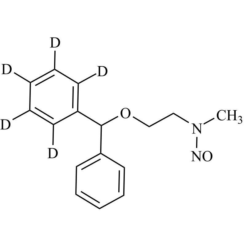
N-Nitroso Diphenhydramine EP Impurity A-d5 (N-Nitroso Dimenhydrinate EP Impurity F-d5)

M.F.
M.W. 275.36
CAT# AR-D07207
CAS# NA