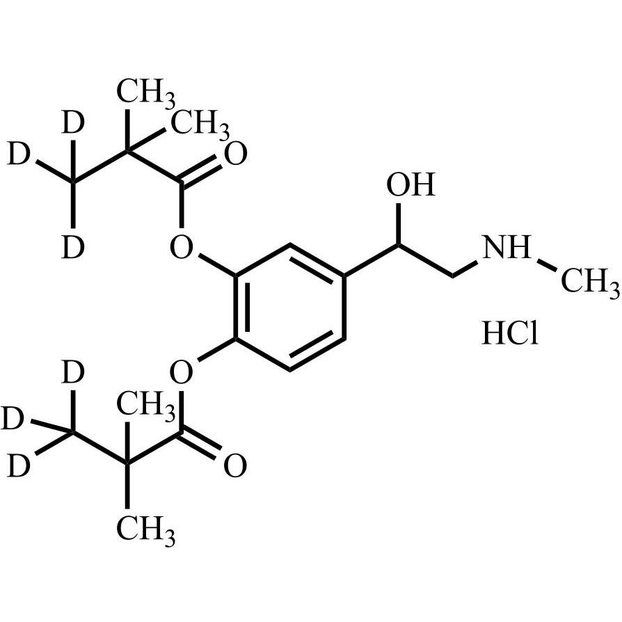
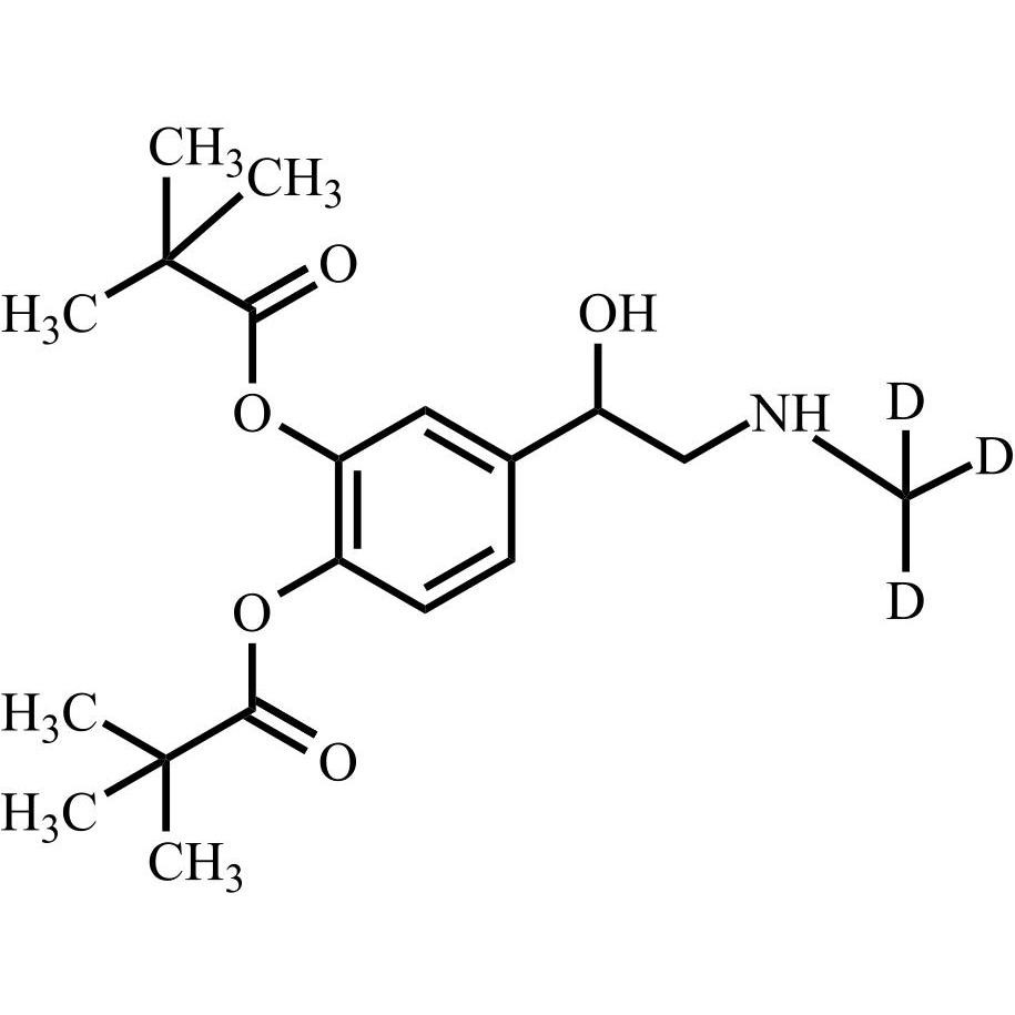
Dipivefrine hydrochloride Related Products
Axios Research stands at the forefront of pharmaceutical reference standards ingenuity, providing high quality Dipivefrine hydrochloride Reference Standards. These include both pharmacopeial and non-pharmacopeial Dipivefrine hydrochloride impurities, metabolites, stable isotope products, and nitrosamines. Our Dipivefrine hydrochloride impurity reference standards are essential for pharmaceutical research, aiding in product development, ANDA and DMF submissions, quality control (QC), method validation, and stability studies. They are also used in identifying unknown impurities and evaluating genotoxic potential. Our Dipivefrine hydrochloride related products are meticulously characterized and come with a comprehensive Certificates of Analysis (COA) and analytical data that comply with regulatory standards.
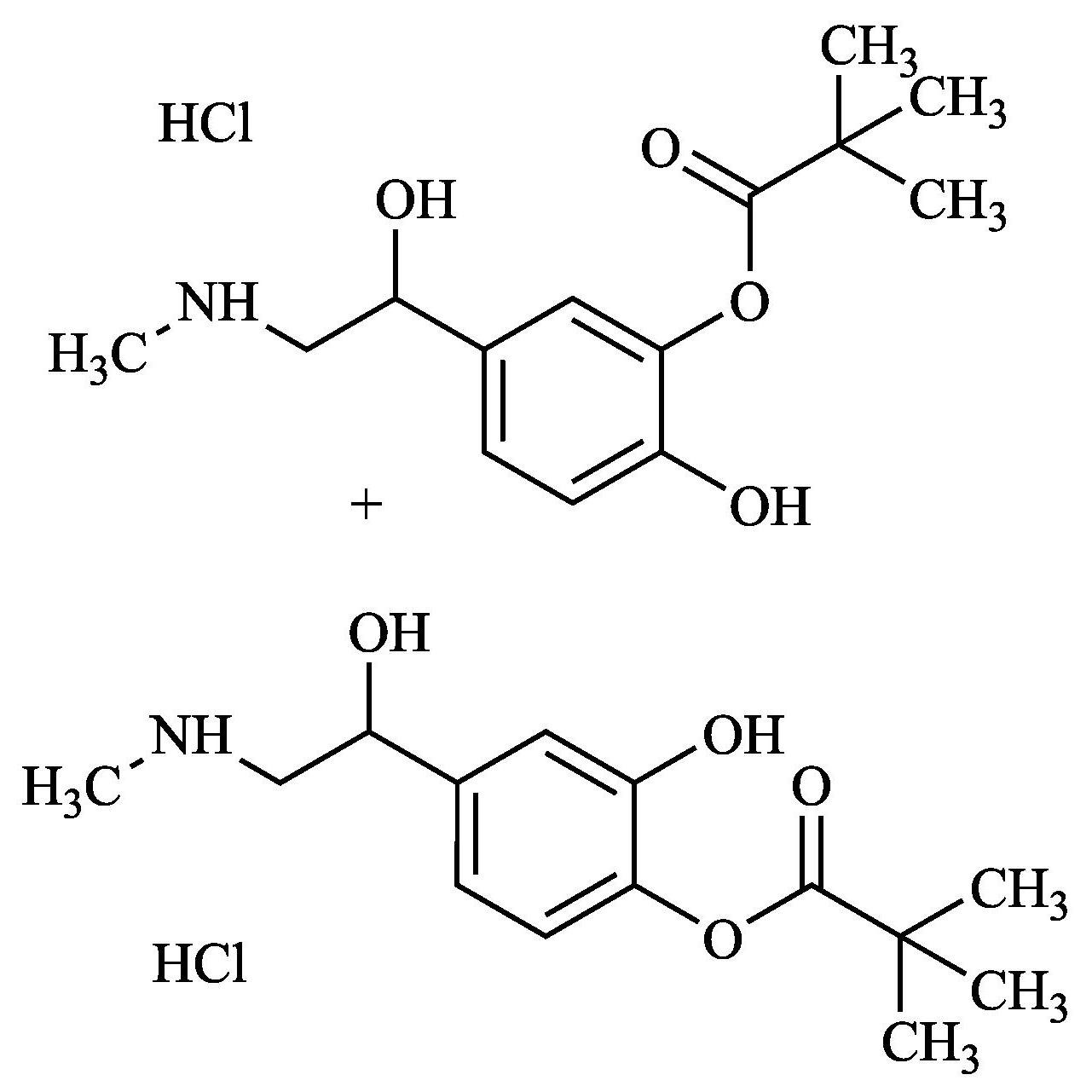
Dipivefrine EP Impurity C HCl and Dipivefrine EP Impurity D HCl

M.F.
M.W. 267.33 36.46
CAT# AR-D07254
CAS# NA