Domperidone Related Products
Axios Research stands at the forefront of pharmaceutical reference standards ingenuity, providing high quality Domperidone Reference Standards. These include both pharmacopeial and non-pharmacopeial Domperidone impurities, metabolites, stable isotope products, and nitrosamines. Our Domperidone impurity reference standards are essential for pharmaceutical research, aiding in product development, ANDA and DMF submissions, quality control (QC), method validation, and stability studies. They are also used in identifying unknown impurities and evaluating genotoxic potential. Our Domperidone related products are meticulously characterized and come with a comprehensive Certificates of Analysis (COA) and analytical data that comply with regulatory standards.
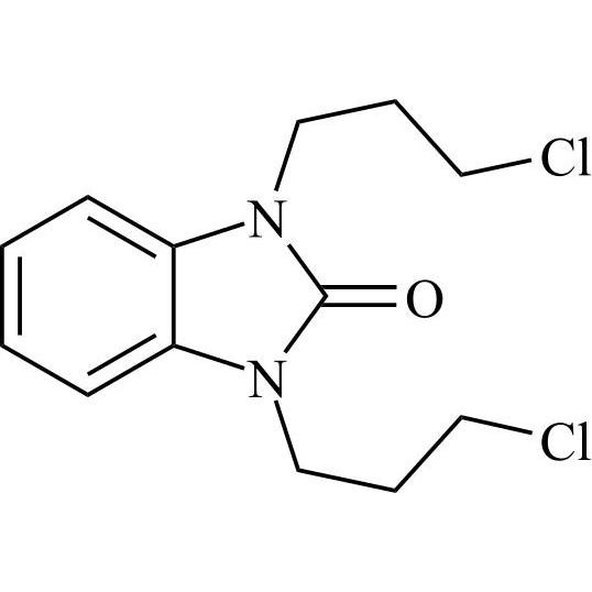
1-(3-chloropropyl)-1H-benzo[d]imidazol- 2(3H)-one (Domperidone Impurity)
![Show details for 1-(3-chloropropyl)-1H-benzo[d]imidazol- 2(3H)-one (Domperidone Impurity) Picture of 1-(3-chloropropyl)-1H-benzo[d]imidazol- 2(3H)-one (Domperidone Impurity)](https://bc3c83a0874864a50753-7010fd7f2bdf81ab41ee28479491701e.ssl.cf2.rackcdn.com/media//catalog/AR-D02147.jpg?size=256)
M.F.
M.W. 210.66
CAT# AR-D02147
CAS# 62780-89-6