Ephedrine Related Products
Axios Research stands at the forefront of pharmaceutical reference standards ingenuity, providing high quality Ephedrine Reference Standards. These include both pharmacopeial and non-pharmacopeial Ephedrine impurities, metabolites, stable isotope products, and nitrosamines. Our Ephedrine impurity reference standards are essential for pharmaceutical research, aiding in product development, ANDA and DMF submissions, quality control (QC), method validation, and stability studies. They are also used in identifying unknown impurities and evaluating genotoxic potential. Our Ephedrine related products are meticulously characterized and come with a comprehensive Certificates of Analysis (COA) and analytical data that comply with regulatory standards.
(Z)-2-(5-benzylidene-4-oxo-2-thioxothiazolidin-3-yl)acetic acid

M.F.
M.W. 193.25
CAT# AR-E01472
CAS# 67844-53-5
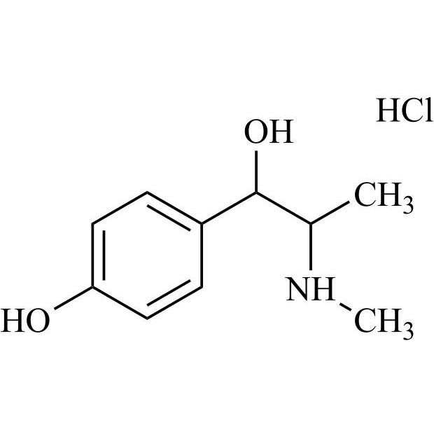
Chloroephedrine HCl, Ephedrine Impurity 15 HCl and Ephedrine Impurity 16 HCl

M.F.
M.W. 183.68 36.46
CAT# AR-E10018
CAS# NA
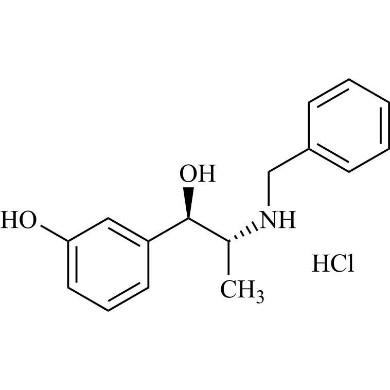
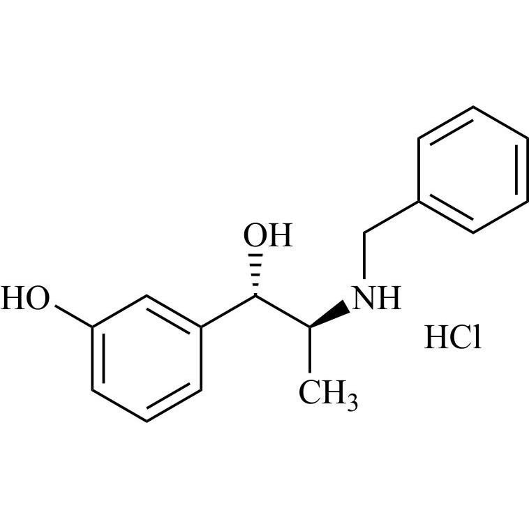
rac-Chloroephedrine HCl (Mixture of Diastereomers)

M.F.
M.W. 183.68 36.46
CAT# AR-E10011
CAS# 25394-24-5
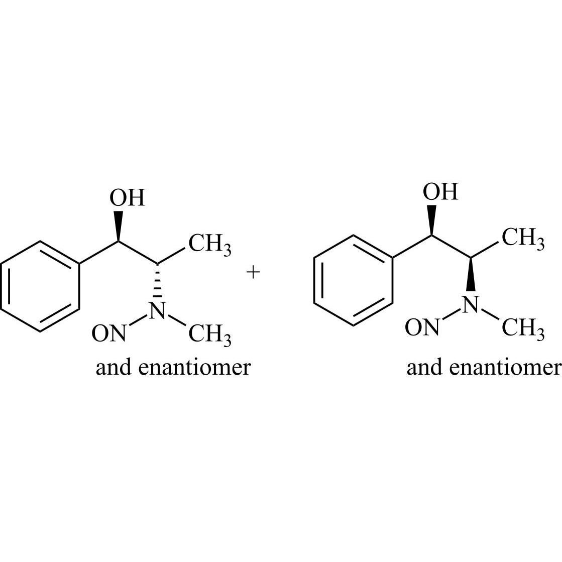
N-Nitroso rac-Ephedrine and N-Nitroso rac-Pseudoephedrine

M.F.
M.W. 194.23
CAT# AR-E10012
CAS# 17608-59-2