Etifoxine Related Products

Axios Research stands at the forefront of pharmaceutical reference standards ingenuity, providing high quality Etifoxine Reference Standards. These include both pharmacopeial and non-pharmacopeial Etifoxine impurities, metabolites, stable isotope products, and nitrosamines. Our Etifoxine impurity reference standards are essential for pharmaceutical research, aiding in product development, ANDA and DMF submissions, quality control (QC), method validation, and stability studies. They are also used in identifying unknown impurities and evaluating genotoxic potential. Our Etifoxine related products are meticulously characterized and come with a comprehensive Certificates of Analysis (COA) and analytical data that comply with regulatory standards.

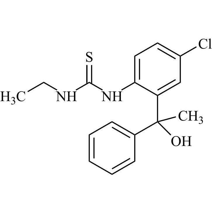
Etifoxine

Picture of Etifoxine

M.F.

M.W. 300.78

CAT# AR-E02105

CAS# 21715-46-8(free base:)

Can't find what you are looking for?

Inquire Now