Fenoprofen Related Products
Axios Research stands at the forefront of pharmaceutical reference standards ingenuity, providing high quality Fenoprofen Reference Standards. These include both pharmacopeial and non-pharmacopeial Fenoprofen impurities, metabolites, stable isotope products, and nitrosamines. Our Fenoprofen impurity reference standards are essential for pharmaceutical research, aiding in product development, ANDA and DMF submissions, quality control (QC), method validation, and stability studies. They are also used in identifying unknown impurities and evaluating genotoxic potential. Our Fenoprofen related products are meticulously characterized and come with a comprehensive Certificates of Analysis (COA) and analytical data that comply with regulatory standards.
4'-Hydroxy Fenoprofen O-Glucuronide (Mixture of Diastereomers)

M.F.
M.W. 434.40
CAT# AR-F09922
CAS# NA
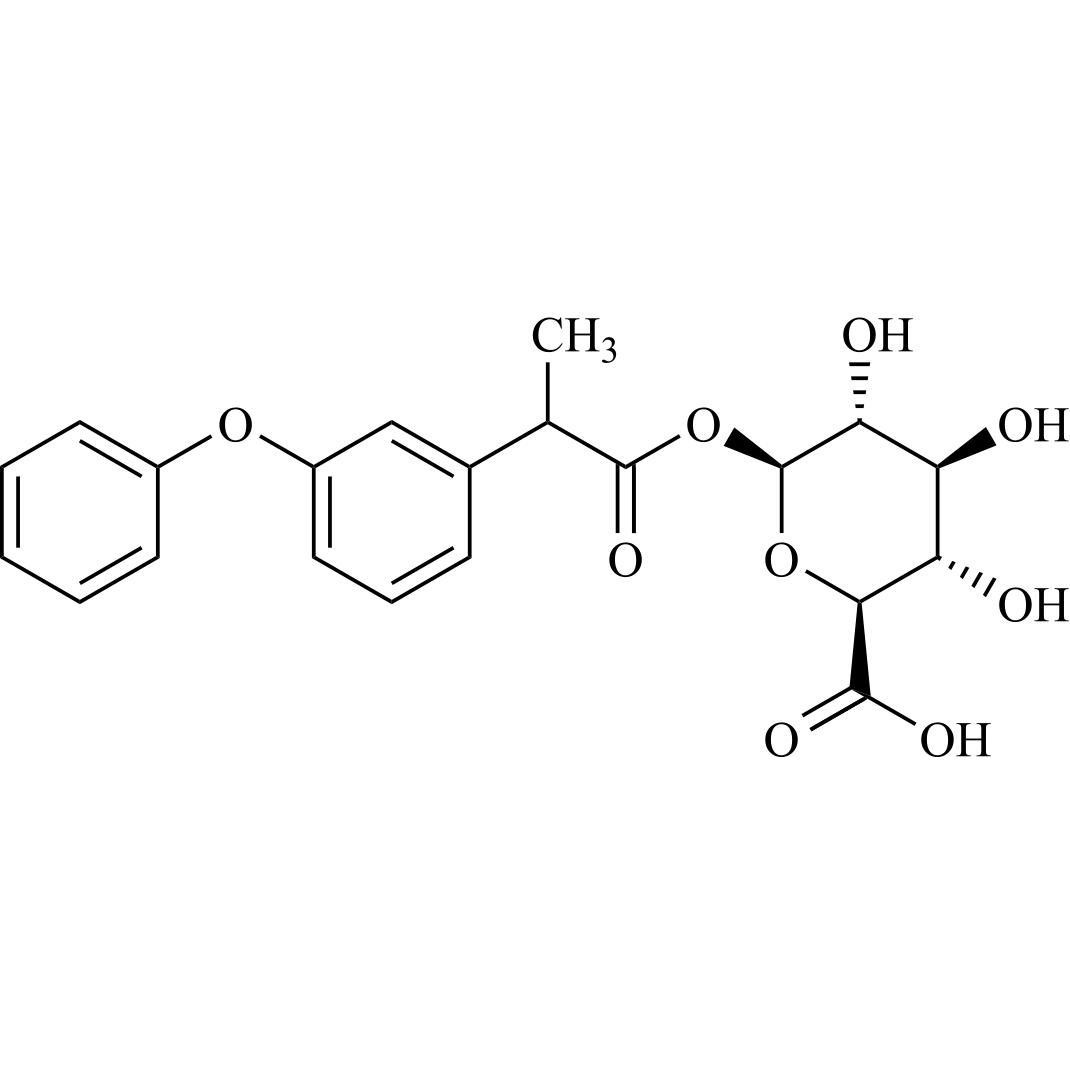
Fenoprofen Acyl Glucuronide (Mixture of Diastereomers)

M.F.
M.W. 418.40
CAT# AR-F09920
CAS# 35440-36-9