Fluoxetine Related Products
Axios Research stands at the forefront of pharmaceutical reference standards ingenuity, providing high quality Fluoxetine Reference Standards. These include both pharmacopeial and non-pharmacopeial Fluoxetine impurities, metabolites, stable isotope products, and nitrosamines. Our Fluoxetine impurity reference standards are essential for pharmaceutical research, aiding in product development, ANDA and DMF submissions, quality control (QC), method validation, and stability studies. They are also used in identifying unknown impurities and evaluating genotoxic potential. Our Fluoxetine related products are meticulously characterized and come with a comprehensive Certificates of Analysis (COA) and analytical data that comply with regulatory standards.
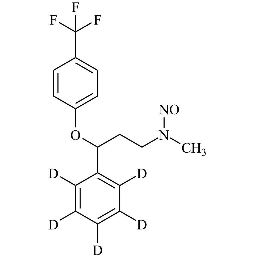
Fluoxetine methasulfonate analog (racemic mixture)

M.F.
M.W. 356.44
CAT# AR-F09476
CAS# 1445281-20-8
Atomoxetine Related Compound A (Fluoxetine EP Impurity A)

M.F.
M.W. 165.24
CAT# AR-F01759
CAS# 42142-52-9
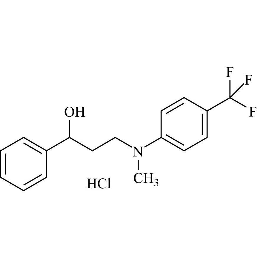
Fluoxetine Impurity C HCl (Fluoxetine USP Related Compound A HCl)

M.F.
M.W. 309.33 ; 36.46
CAT# AR-F01761
CAS# 79088-29-2
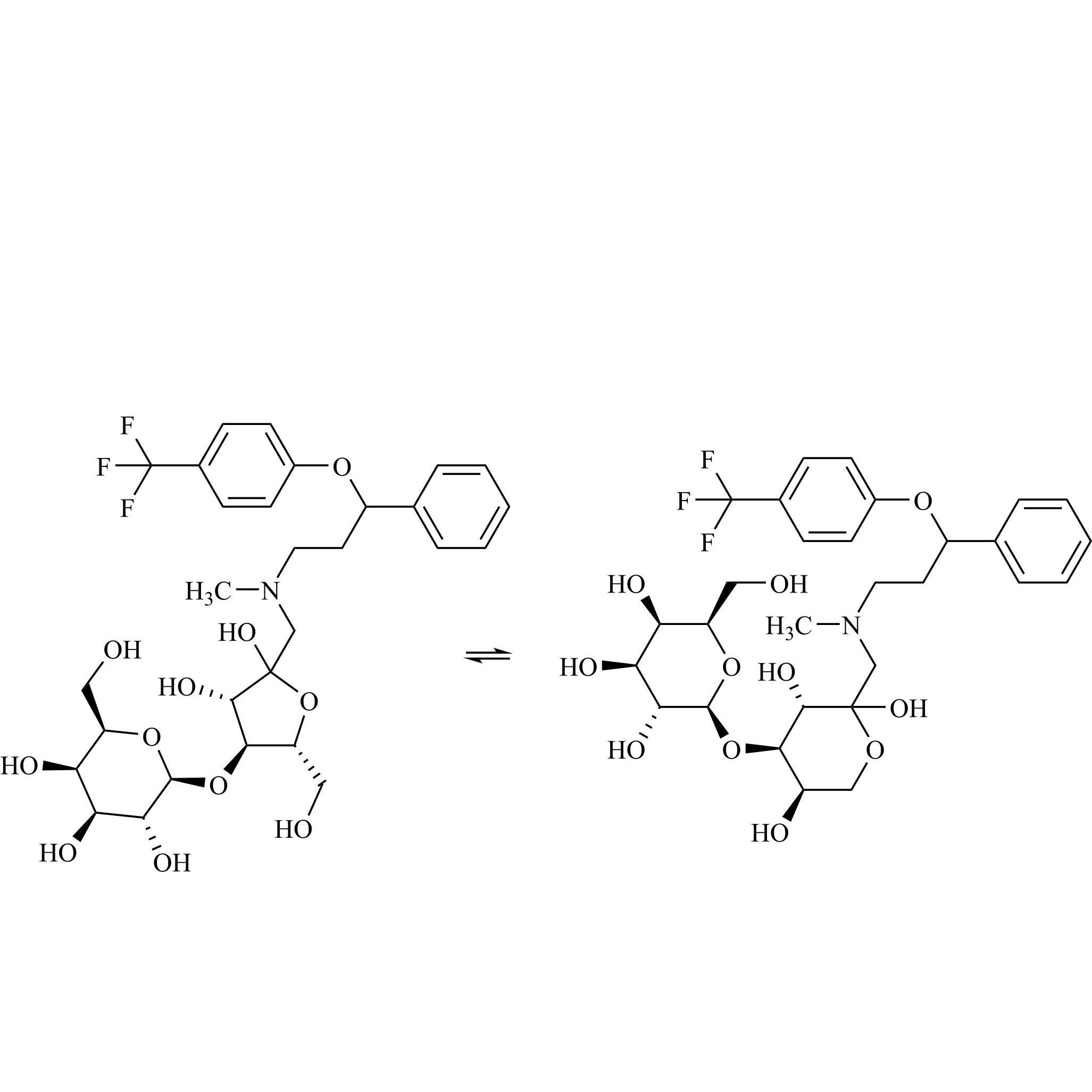
Fluoxetine N-Glucuronide Sodium Salt (Mixture of Diastereomers)

M.F.
M.W. 484.45 22.99
CAT# AR-F01763
CAS# 96735-71-6 (free base)