Fluvoxamine Related Products
Axios Research stands at the forefront of pharmaceutical reference standards ingenuity, providing high quality Fluvoxamine Reference Standards. These include both pharmacopeial and non-pharmacopeial Fluvoxamine impurities, metabolites, stable isotope products, and nitrosamines. Our Fluvoxamine impurity reference standards are essential for pharmaceutical research, aiding in product development, ANDA and DMF submissions, quality control (QC), method validation, and stability studies. They are also used in identifying unknown impurities and evaluating genotoxic potential. Our Fluvoxamine related products are meticulously characterized and come with a comprehensive Certificates of Analysis (COA) and analytical data that comply with regulatory standards.
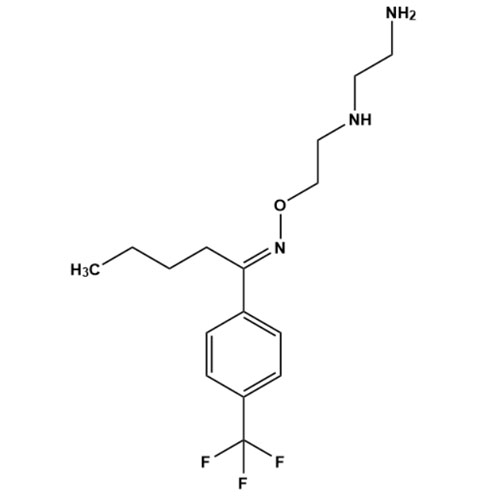
Aminoethyl Desmethoxy Fluvoxamine Dihydrochloride Salt

M.F.
M.W. 331.38 mol/g
CAT# AR-F09394
CAS# NA
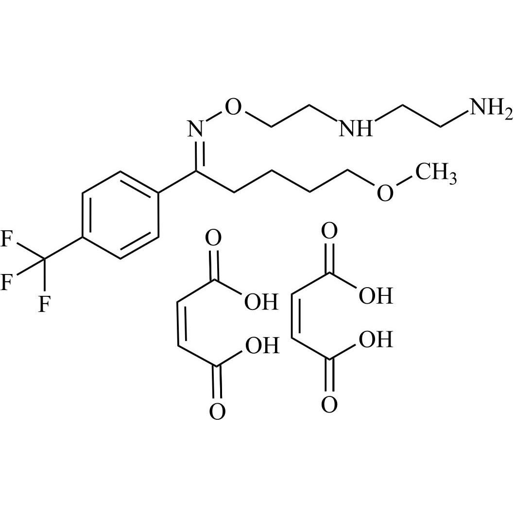
Fluvoxamine Maleate EP Impurity B Maleate Salt

M.F.
M.W. 318.3 : 116.1
CAT# AR-F09382
CAS# 917096-37-8
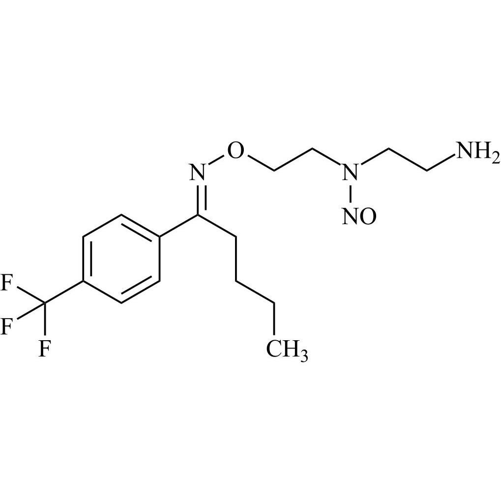
Fluvoxamine Maleate EP Impurity B Fumarate Salt

M.F.
M.W. 318.34;116.07
CAT# AR-F09392
CAS# 2747924-45-2
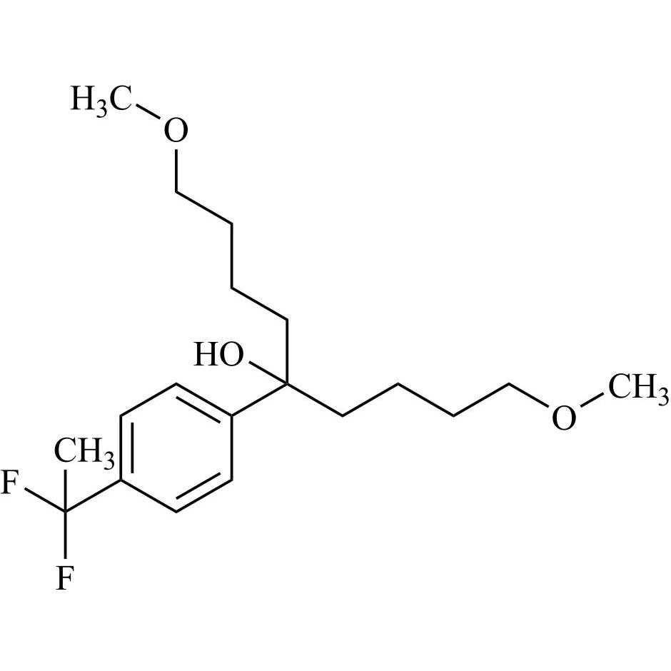
Fluvoxamine Acid N-Acetyl Impurity                 Â

M.F.
M.W. 360.33
CAT# AR-F10661
CAS# 88699-87-0