Formoterol Related Products
Axios Research stands at the forefront of pharmaceutical reference standards ingenuity, providing high quality Formoterol Reference Standards. These include both pharmacopeial and non-pharmacopeial Formoterol impurities, metabolites, stable isotope products, and nitrosamines. Our Formoterol impurity reference standards are essential for pharmaceutical research, aiding in product development, ANDA and DMF submissions, quality control (QC), method validation, and stability studies. They are also used in identifying unknown impurities and evaluating genotoxic potential. Our Formoterol related products are meticulously characterized and come with a comprehensive Certificates of Analysis (COA) and analytical data that comply with regulatory standards.
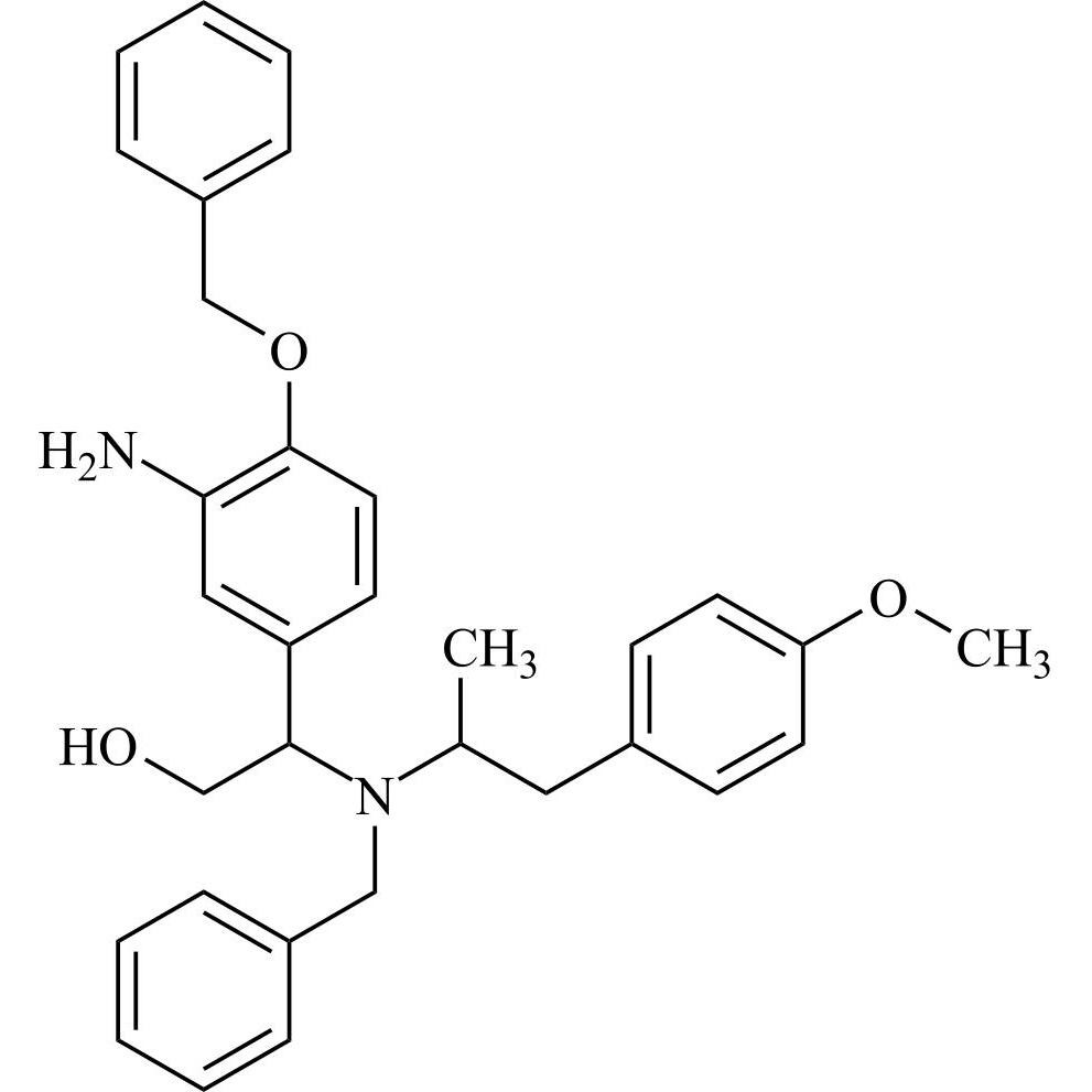
rac-O-Benzyl N-Benzyl Formoterol (Mixture of Diastereomers)

M.F.
M.W. 524.66
CAT# AR-F02003
CAS# 43229-70-5
Formoterol EP Impurity C (Mixture of Diastereomers)

M.F.
M.W. 358.44
CAT# AR-F00986
CAS# 1795135-61-3
Formoterol EP Impurity E (Mixture of Diastereomers)

M.F.
M.W. 358.44
CAT# AR-F00999
CAS# 1616967-26-0
Formoterol EP Impurity D (Mixture of Diastereomers)

M.F.
M.W. 358.44
CAT# AR-F00987
CAS# 1795133-96-8
Formoterol EP Impurity H (Mixture of Diastereomers)

M.F.
M.W. 434.54
CAT# AR-F00994
CAS# 2514947-17-0
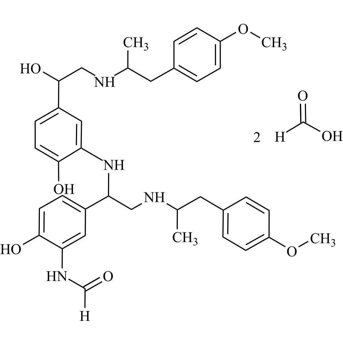
Formoterol EP Impurity D Fumarate (Mixture of Diastereomers)

M.F.
M.W. 358.44 116.07
CAT# AR-F02491
CAS# 1795133-97-9
Formoterol EP Impurity A (Mixture of Diastereomers)

M.F.
M.W. 316.40
CAT# AR-E08461
CAS# 150513-24-9
Formoterol EP Impurity D Formate (Mixture of Diastereomers)

M.F.
M.W. 358.44 46.03
CAT# AR-F10808
CAS# NA
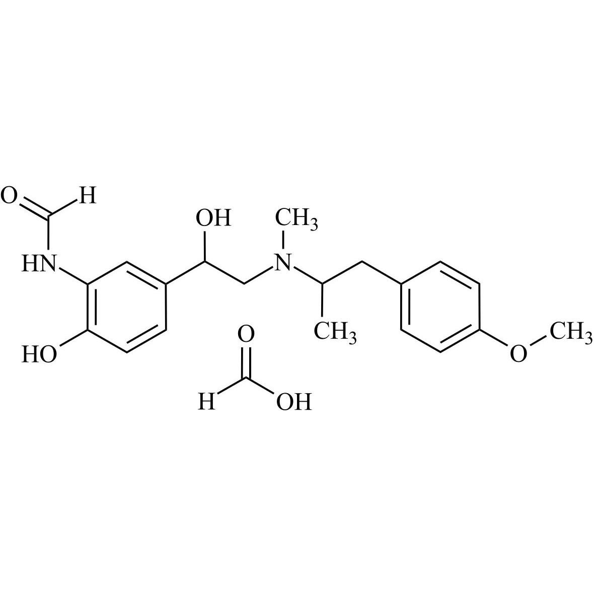
Formoterol EP Impurity F (Mixture of Diastereomers) Diformate

M.F.
M.W. 642.80 2*46.03
CAT# AR-F10818
CAS# NA
(R,R)-Formoterol L-Tartrate (Arformoterol L-Tartrate)

M.F.
M.W. 344.41 150.09
CAT# AR-F10810
CAS# 200815-49-2
Formoterol-13C-d3 Hemifumarate

M.F.
M.W. 348.42 0.5 116.07
CAT# AR-F01980
CAS# 43229-80-7 (non-labelled)