Gadoteridol Related Products
Axios Research stands at the forefront of pharmaceutical reference standards ingenuity, providing high quality Gadoteridol Reference Standards. These include both pharmacopeial and non-pharmacopeial Gadoteridol impurities, metabolites, stable isotope products, and nitrosamines. Our Gadoteridol impurity reference standards are essential for pharmaceutical research, aiding in product development, ANDA and DMF submissions, quality control (QC), method validation, and stability studies. They are also used in identifying unknown impurities and evaluating genotoxic potential. Our Gadoteridol related products are meticulously characterized and come with a comprehensive Certificates of Analysis (COA) and analytical data that comply with regulatory standards.
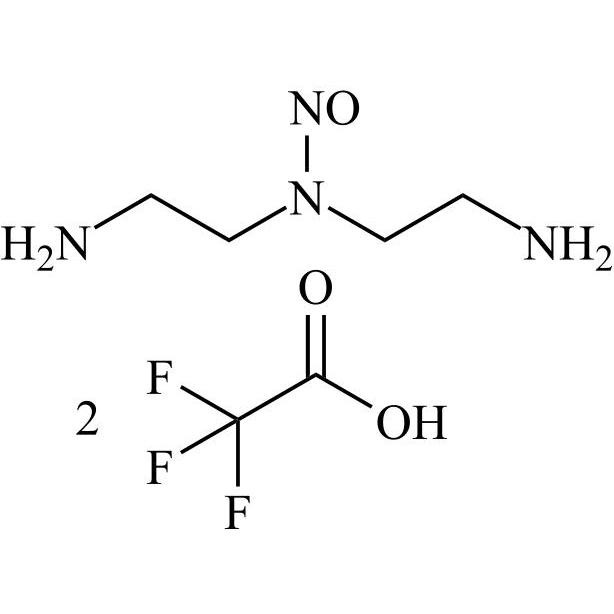
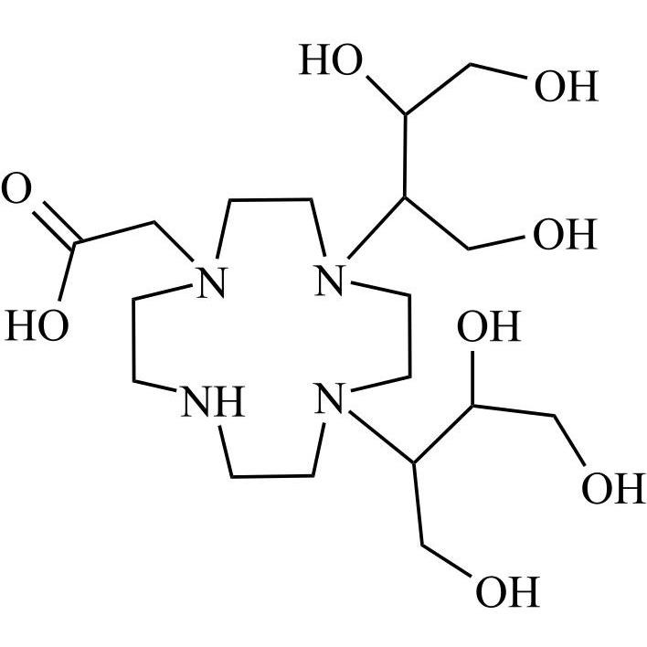
Gadobutrol Impurity 1 (mix of enantiomers)

M.F.
M.W. 450.49
CAT# AR-G01030
CAS# 138168-36-2 (racemic mix)
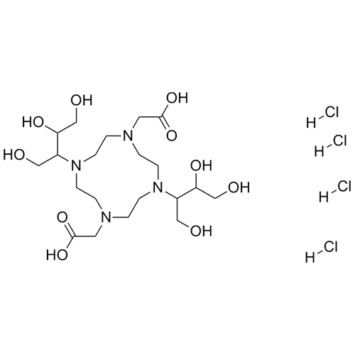
Gadobutrol Impurity 2 4HCl (Mixture of Diastereomers)

M.F.
M.W. 496.56 4 36.46
CAT# AR-G01031
CAS# 2514736-59-3
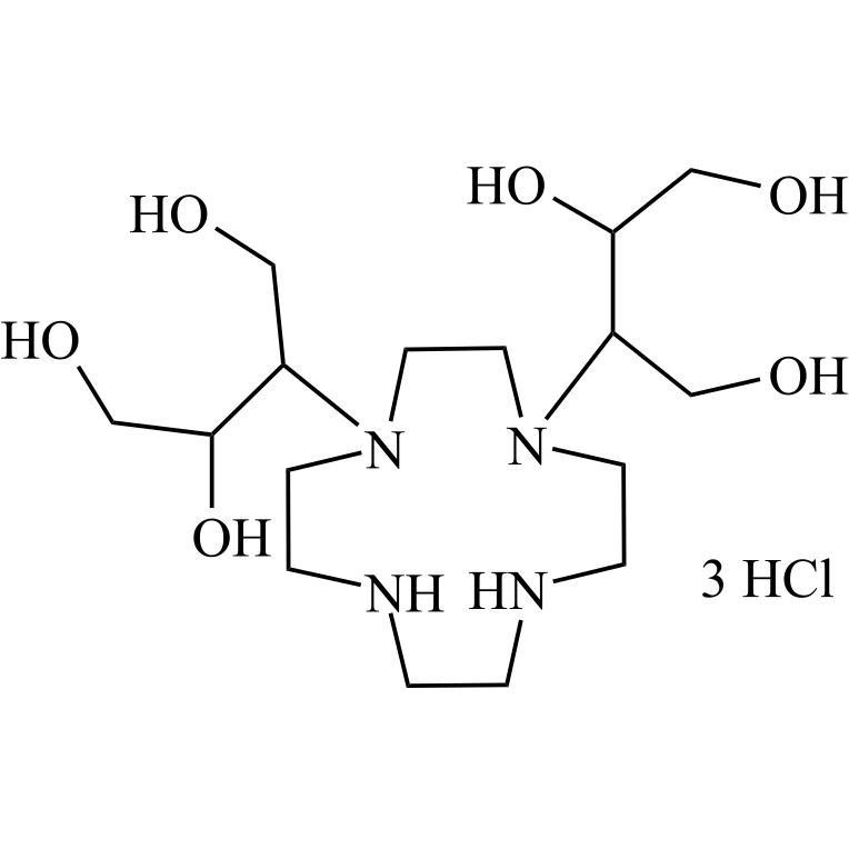
Gadobutrol Trisodium Salt (Calcobutrol Trisodium Salt)

M.F.
M.W. 447.47 3*22.99
CAT# AR-G01966
CAS# 2447549-29-1
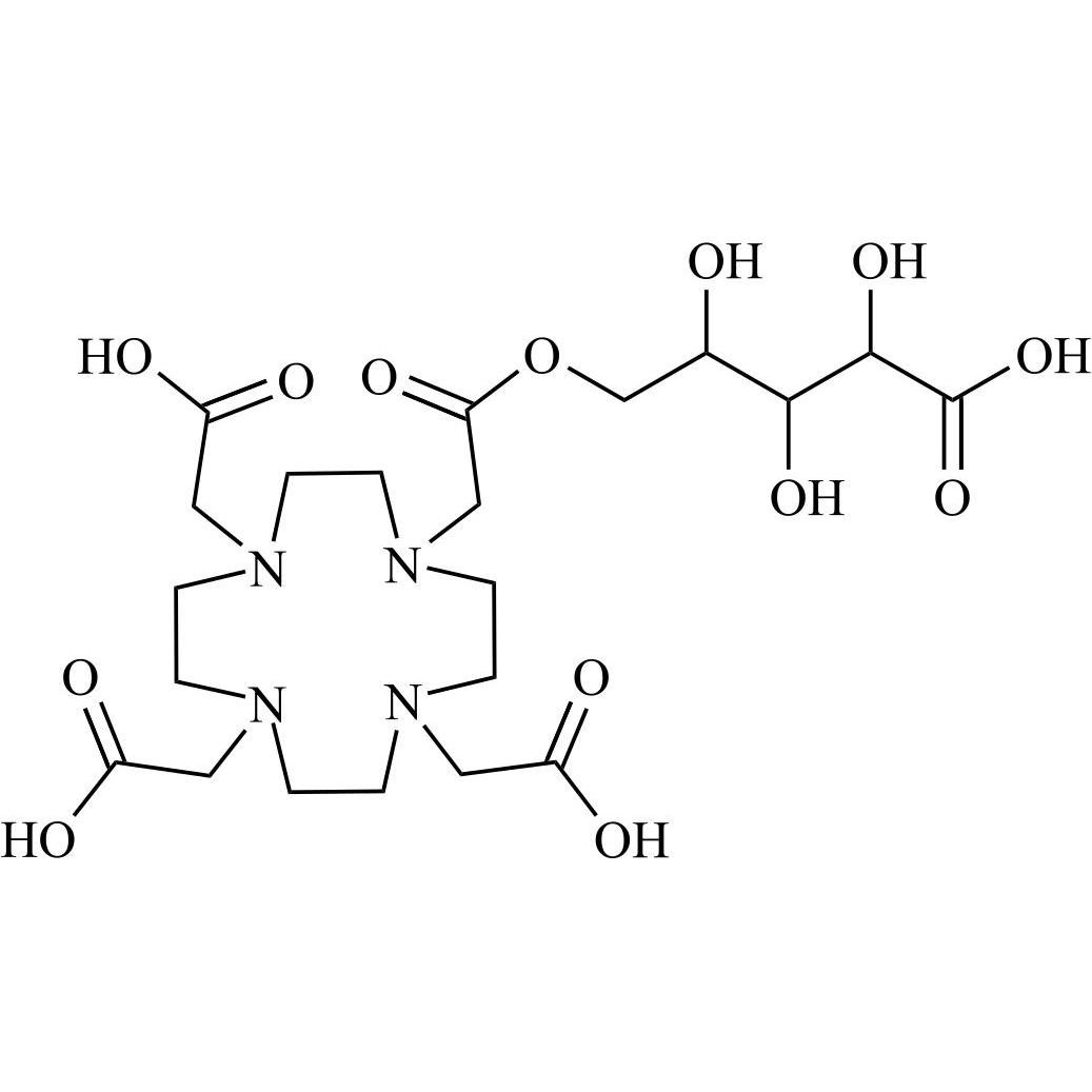
N-Nitroso Gadobutrol Impurity 36 Ditrifluoroacetate

M.F.
M.W. 132.17 2*114.02
CAT# AR-G01968
CAS# NA