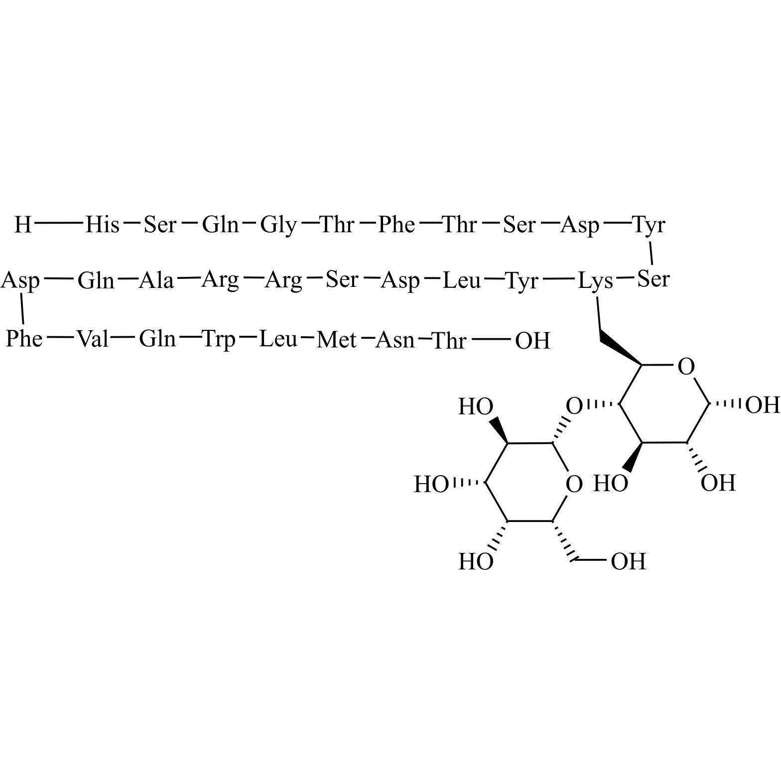
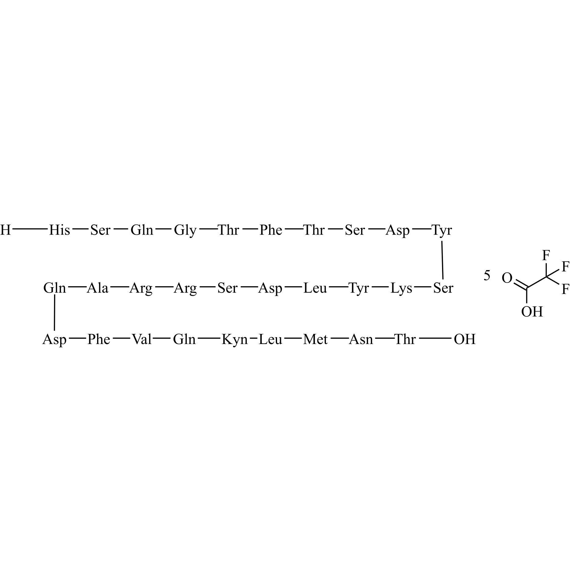
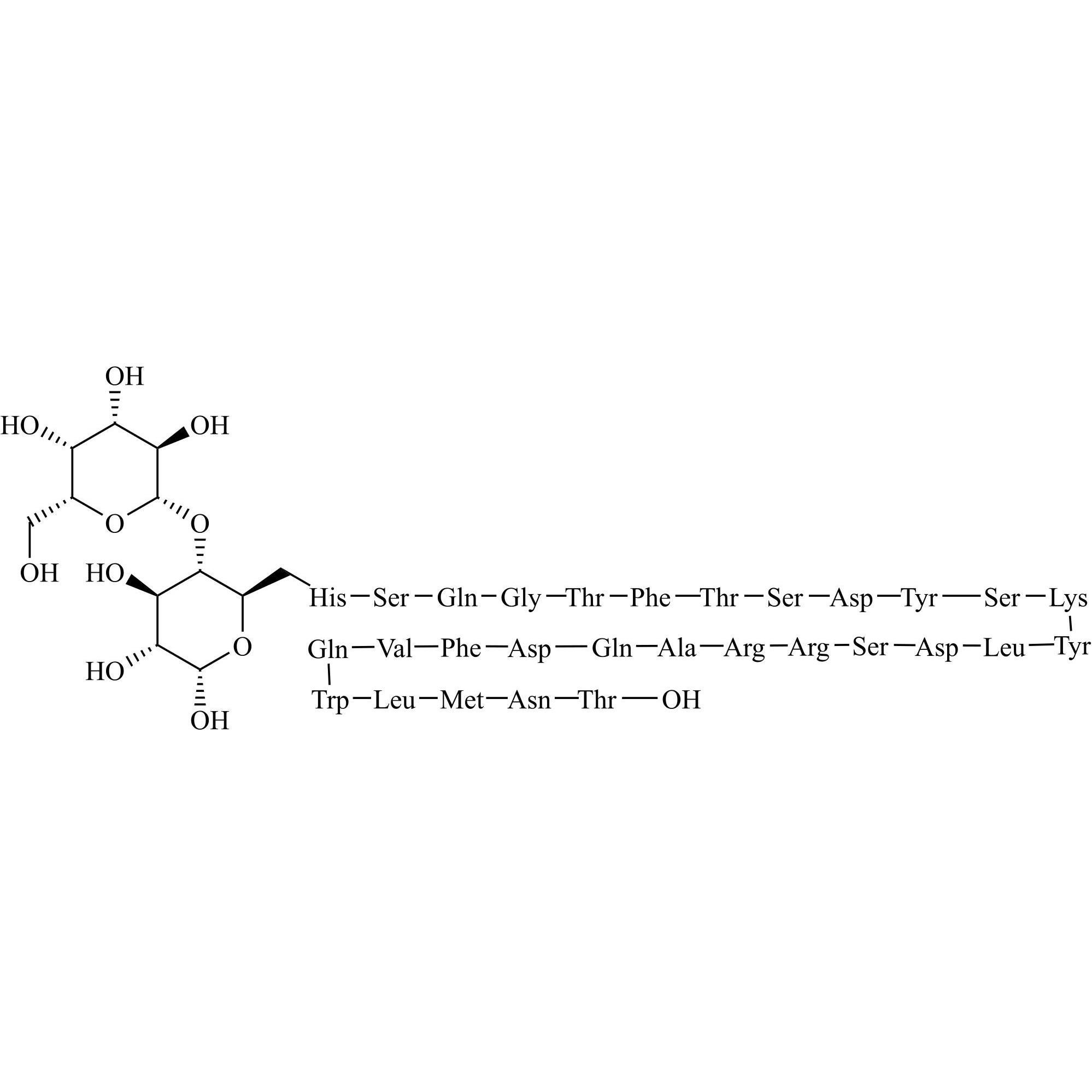
Glucagon Related Products
Axios Research stands at the forefront of pharmaceutical reference standards ingenuity, providing high quality Glucagon Reference Standards. These include both pharmacopeial and non-pharmacopeial Glucagon impurities, metabolites, stable isotope products, and nitrosamines. Our Glucagon impurity reference standards are essential for pharmaceutical research, aiding in product development, ANDA and DMF submissions, quality control (QC), method validation, and stability studies. They are also used in identifying unknown impurities and evaluating genotoxic potential. Our Glucagon related products are meticulously characterized and come with a comprehensive Certificates of Analysis (COA) and analytical data that comply with regulatory standards.
Glucagon Impurity 11 Tetratrifluoroacetate (Des-Thr7)-Glucagon)

M.F.
M.W. 3381.69 4*114.02
CAT# AR-G02333
CAS# 1802078-28-9