Goserelin Related Products
Axios Research stands at the forefront of pharmaceutical reference standards ingenuity, providing high quality Goserelin Reference Standards. These include both pharmacopeial and non-pharmacopeial Goserelin impurities, metabolites, stable isotope products, and nitrosamines. Our Goserelin impurity reference standards are essential for pharmaceutical research, aiding in product development, ANDA and DMF submissions, quality control (QC), method validation, and stability studies. They are also used in identifying unknown impurities and evaluating genotoxic potential. Our Goserelin related products are meticulously characterized and come with a comprehensive Certificates of Analysis (COA) and analytical data that comply with regulatory standards.
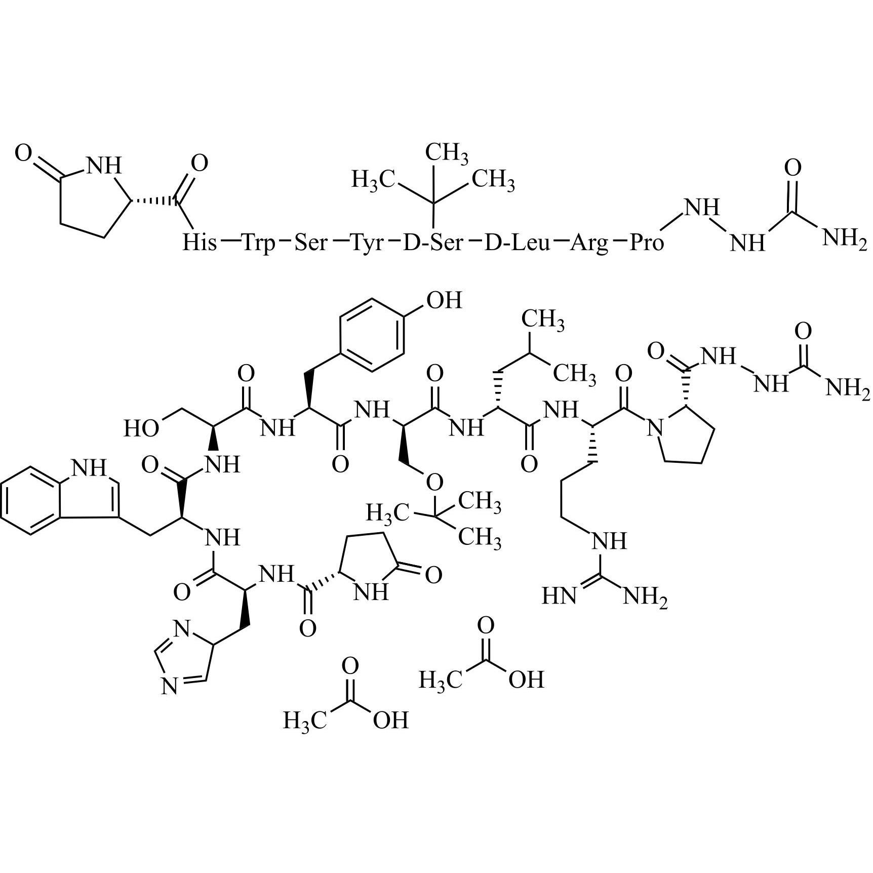
(Des-carboxamide)-Goserelin [(Pro-(NHNH2)9)-Buserelin]
![Show details for (Des-carboxamide)-Goserelin [(Pro-(NHNH2)9)-Buserelin] Picture of (Des-carboxamide)-Goserelin [(Pro-(NHNH2)9)-Buserelin]](https://bc3c83a0874864a50753-7010fd7f2bdf81ab41ee28479491701e.ssl.cf2.rackcdn.com/media//catalog/AR-G01593.jpg?size=256)
M.F.
M.W. 1226.40 114.02
CAT# AR-G01593
CAS# 147688-42-4
Goserelin Impurity 4 Ditrifluoroacetate (8-(N-Acetylamino-L-Arginine)-Goserelin Ditrifluoroacetate)

M.F.
M.W. 1311.47 2*114.02
CAT# AR-G02734
CAS# NA
Goserelin Impurity 5 Ditrifluoroacetate (6-(des-tert-Butyl-D-Serine)-Goserelin Ditrifluoroacetate)

M.F.
M.W. 1213.33 2*114.02
CAT# AR-G02735
CAS# NA
Goserelin EP Impurity B Diacetate ((Ser(tBu)6)-Goserelin Diacetate)

M.F.
M.W. 1269.43 2*60.05
CAT# AR-G02737
CAS# NA
Goserelin EP Impurity L Diacetate ((D-Leu7)-Goserelin Diacetate)

M.F.
M.W. 1269.43 2*60.05
CAT# AR-G02740
CAS# NA