Hydantoin Related Products
Axios Research stands at the forefront of pharmaceutical reference standards ingenuity, providing high quality Hydantoin Reference Standards. These include both pharmacopeial and non-pharmacopeial Hydantoin impurities, metabolites, stable isotope products, and nitrosamines. Our Hydantoin impurity reference standards are essential for pharmaceutical research, aiding in product development, ANDA and DMF submissions, quality control (QC), method validation, and stability studies. They are also used in identifying unknown impurities and evaluating genotoxic potential. Our Hydantoin related products are meticulously characterized and come with a comprehensive Certificates of Analysis (COA) and analytical data that comply with regulatory standards.
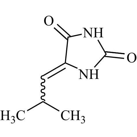
(E,Z)-5-(2-Methylpropylidene) Imidazolidine-2,4-Dione

M.F.
M.W. 154.17
CAT# AR-H07652
CAS# 55666-11-0