Inositol Related Products
Axios Research stands at the forefront of pharmaceutical reference standards ingenuity, providing high quality Inositol Reference Standards. These include both pharmacopeial and non-pharmacopeial Inositol impurities, metabolites, stable isotope products, and nitrosamines. Our Inositol impurity reference standards are essential for pharmaceutical research, aiding in product development, ANDA and DMF submissions, quality control (QC), method validation, and stability studies. They are also used in identifying unknown impurities and evaluating genotoxic potential. Our Inositol related products are meticulously characterized and come with a comprehensive Certificates of Analysis (COA) and analytical data that comply with regulatory standards.
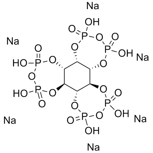
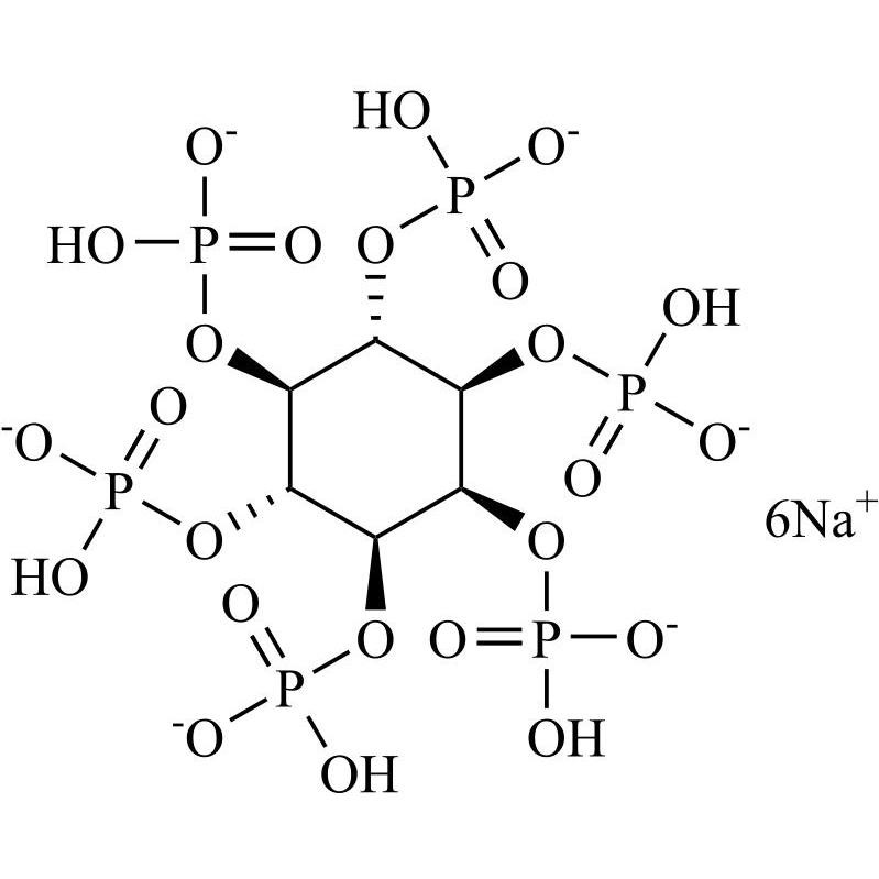
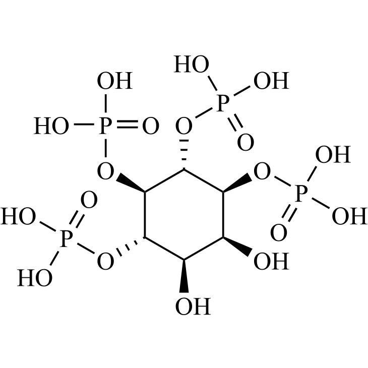
myo-Inositol Trispyrophosphate Hexasodium Salt

M.F.
M.W. 599.94 6 22.99
CAT# AR-I01567
CAS# 23103-35-7