Irganox Related Products
Axios Research stands at the forefront of pharmaceutical reference standards ingenuity, providing high quality Irganox Reference Standards. These include both pharmacopeial and non-pharmacopeial Irganox impurities, metabolites, stable isotope products, and nitrosamines. Our Irganox impurity reference standards are essential for pharmaceutical research, aiding in product development, ANDA and DMF submissions, quality control (QC), method validation, and stability studies. They are also used in identifying unknown impurities and evaluating genotoxic potential. Our Irganox related products are meticulously characterized and come with a comprehensive Certificates of Analysis (COA) and analytical data that comply with regulatory standards.
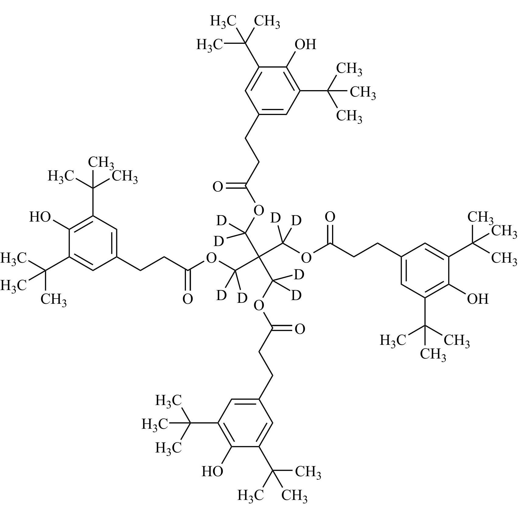
Irganox 1076-d37 (Plastic Additive EP 11-d37, Plastic Additive USP 4-d37)
M.F.
M.W. 568.10
CAT# AR-I03918
CAS# NA
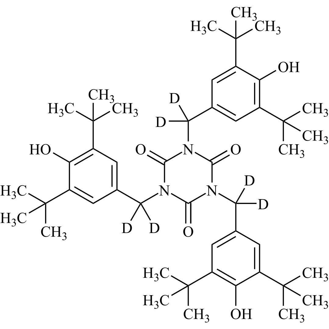
Irganox 1010-d8 (Plastic Additive EP 09-d8, Plastic Additive USP 2-d8, Antioxidant 1010-d8)
M.F.
M.W. 1185.70
CAT# AR-I03920
CAS# NA