Ixazomib Related Products
Axios Research stands at the forefront of pharmaceutical reference standards ingenuity, providing high quality Ixazomib Reference Standards. These include both pharmacopeial and non-pharmacopeial Ixazomib impurities, metabolites, stable isotope products, and nitrosamines. Our Ixazomib impurity reference standards are essential for pharmaceutical research, aiding in product development, ANDA and DMF submissions, quality control (QC), method validation, and stability studies. They are also used in identifying unknown impurities and evaluating genotoxic potential. Our Ixazomib related products are meticulously characterized and come with a comprehensive Certificates of Analysis (COA) and analytical data that comply with regulatory standards.
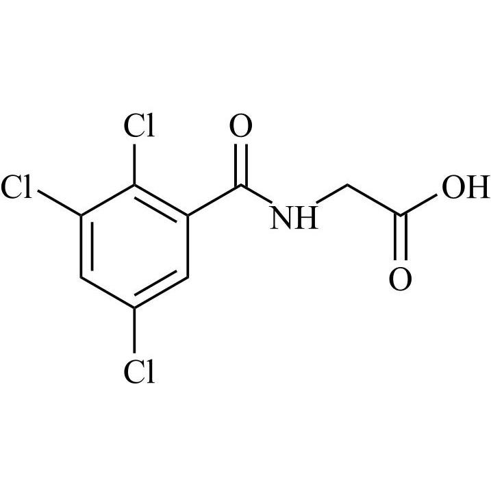
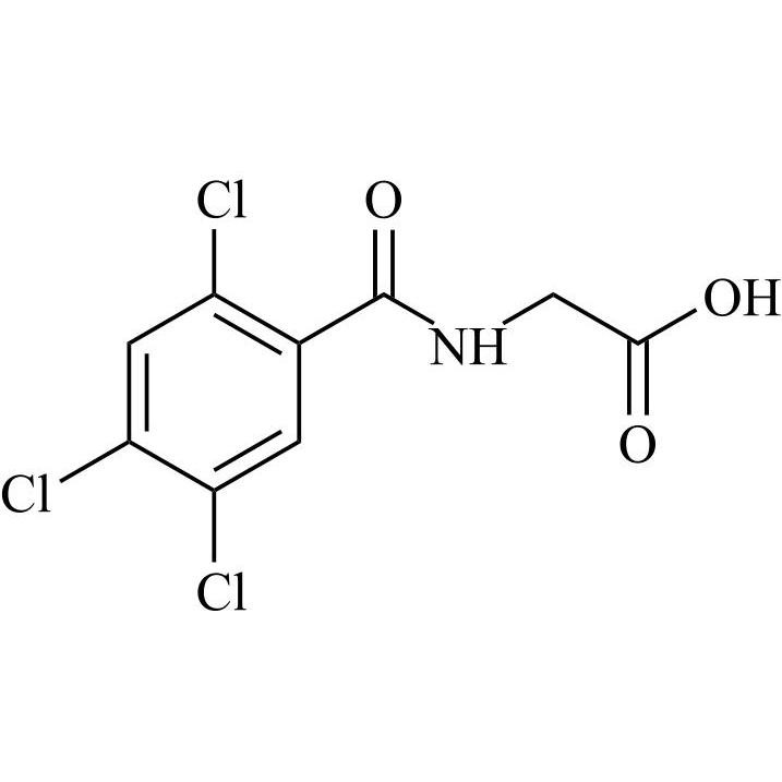
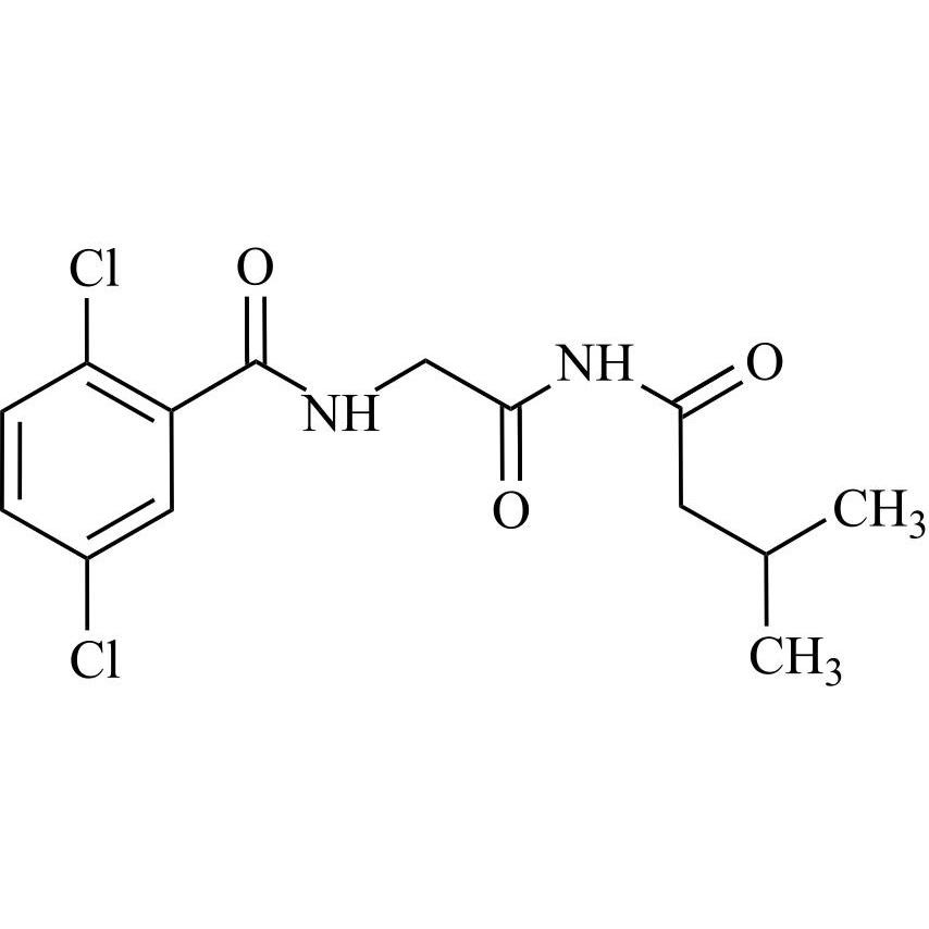
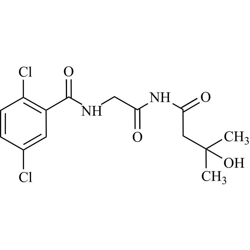
N1-Nitroso Ixazomib Impurity 23 (N1-Nitroso Ixazomib Citrate)

M.F.
M.W. 546.12
CAT# AR-I04305
CAS# NA
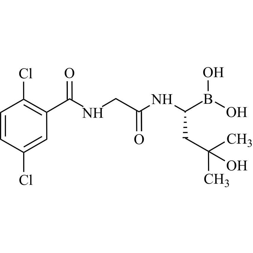
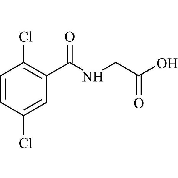
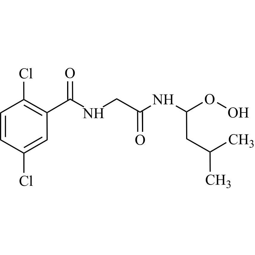
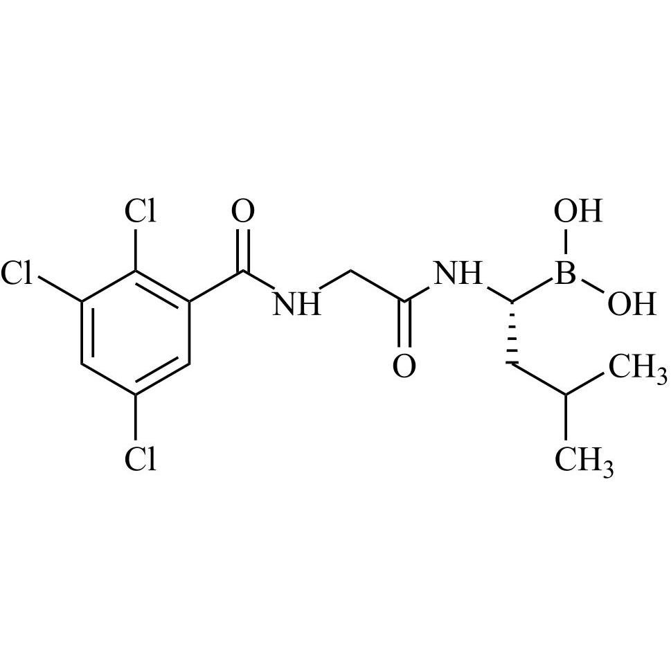
N2-Nitroso Ixazomib Impurity 23 (N2-Nitroso Ixazomib Citrate)

M.F.
M.W. 546.12
CAT# AR-I04306
CAS# NA