Ketoprofen Related Products
Axios Research stands at the forefront of pharmaceutical reference standards ingenuity, providing high quality Ketoprofen Reference Standards. These include both pharmacopeial and non-pharmacopeial Ketoprofen impurities, metabolites, stable isotope products, and nitrosamines. Our Ketoprofen impurity reference standards are essential for pharmaceutical research, aiding in product development, ANDA and DMF submissions, quality control (QC), method validation, and stability studies. They are also used in identifying unknown impurities and evaluating genotoxic potential. Our Ketoprofen related products are meticulously characterized and come with a comprehensive Certificates of Analysis (COA) and analytical data that comply with regulatory standards.
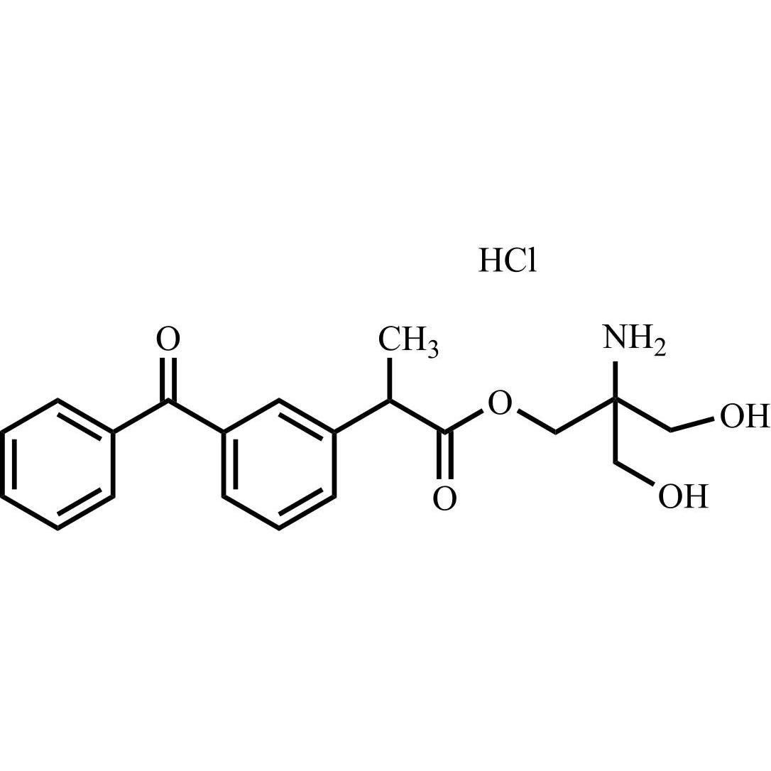
(R)-Ketoprofen Tromethamine Salt ((R)-Ketoprofen Trometamol)
M.F.
M.W. 254.29 121.14
CAT# AR-K01673
CAS# 167300-68-7
rac-Ketoprofen acyl-beta-D-glucuronide (mixture of isomers)

M.F.
M.W. 430.42
CAT# AR-K01051
CAS# 76690-94-3