Levocetirizine Related Products
Axios Research stands at the forefront of pharmaceutical reference standards ingenuity, providing high quality Levocetirizine Reference Standards. These include both pharmacopeial and non-pharmacopeial Levocetirizine impurities, metabolites, stable isotope products, and nitrosamines. Our Levocetirizine impurity reference standards are essential for pharmaceutical research, aiding in product development, ANDA and DMF submissions, quality control (QC), method validation, and stability studies. They are also used in identifying unknown impurities and evaluating genotoxic potential. Our Levocetirizine related products are meticulously characterized and come with a comprehensive Certificates of Analysis (COA) and analytical data that comply with regulatory standards.
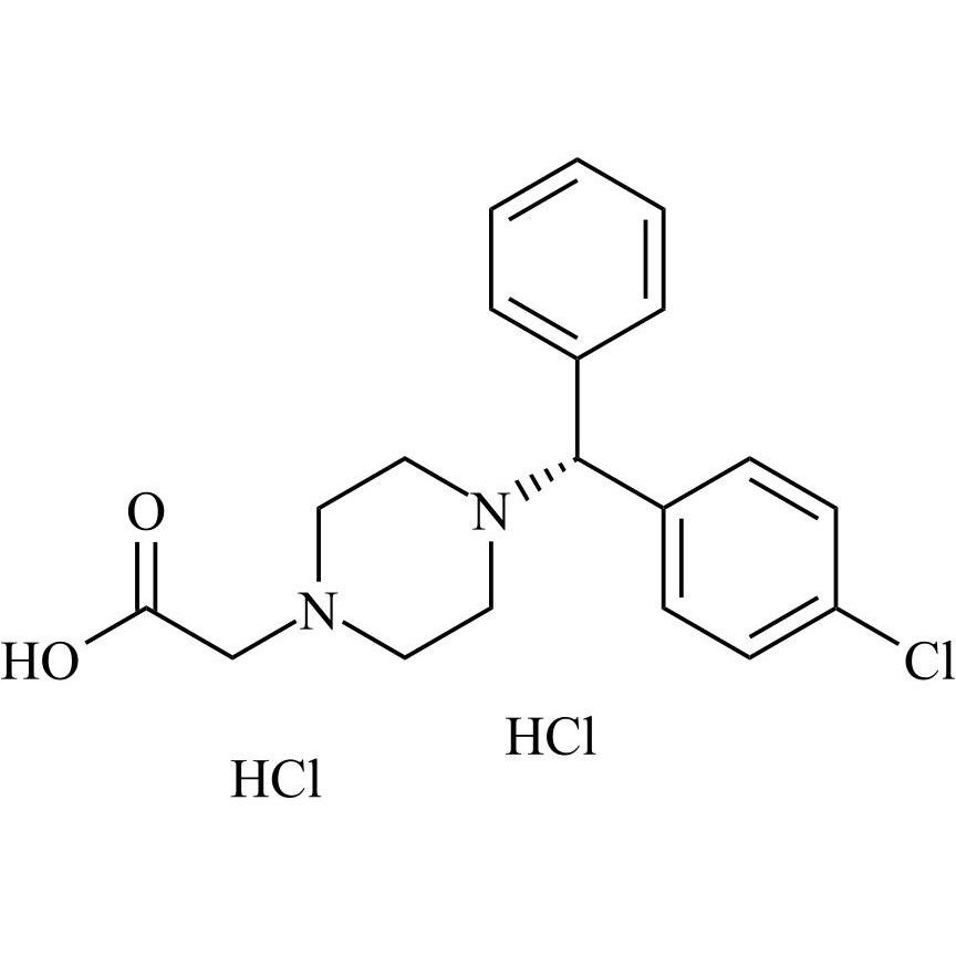
Levocetirizine Impurity 21 HCl (Benzhydrylamine HCl)
M.F.
M.W. 183.25 36.46
CAT# AR-L07023
CAS# 5267-34-5
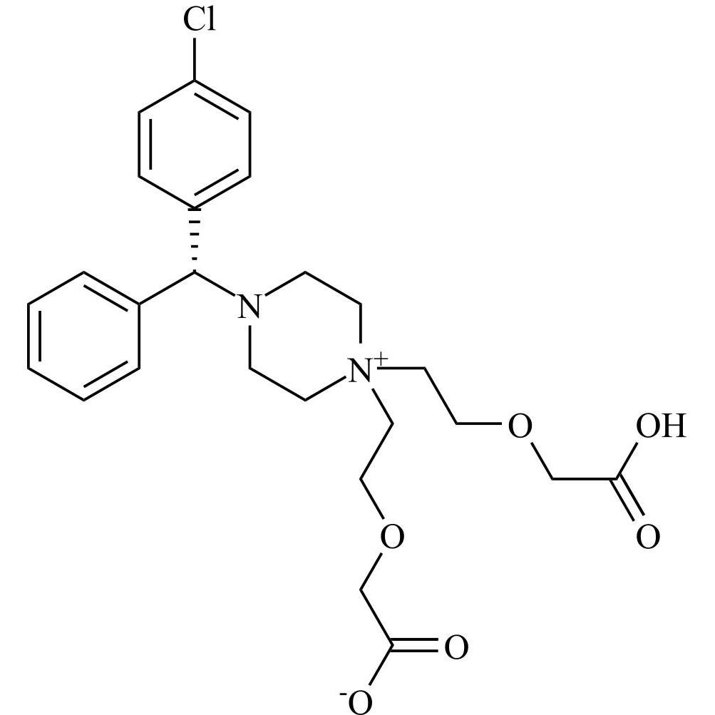
Levocetirizine Glycerol Ester HCl (Mixture of Isomers)
M.F.
M.W. 462.97 36.46
CAT# AR-L07028
CAS# NA