Levonorgestrel Related Products
Axios Research stands at the forefront of pharmaceutical reference standards ingenuity, providing high quality Levonorgestrel Reference Standards. These include both pharmacopeial and non-pharmacopeial Levonorgestrel impurities, metabolites, stable isotope products, and nitrosamines. Our Levonorgestrel impurity reference standards are essential for pharmaceutical research, aiding in product development, ANDA and DMF submissions, quality control (QC), method validation, and stability studies. They are also used in identifying unknown impurities and evaluating genotoxic potential. Our Levonorgestrel related products are meticulously characterized and come with a comprehensive Certificates of Analysis (COA) and analytical data that comply with regulatory standards.
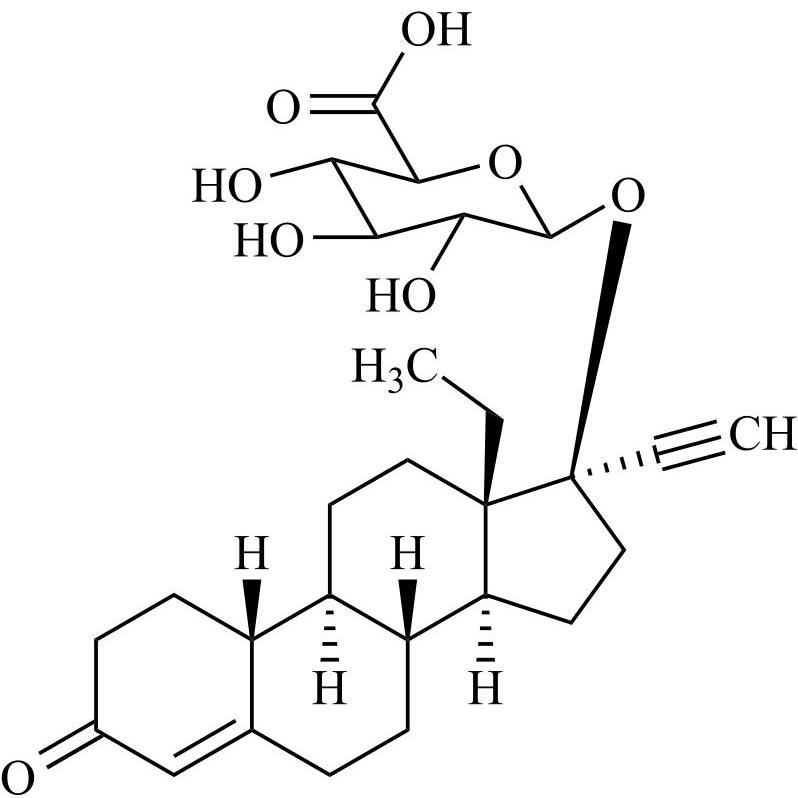
Levonorgestrel Glucuronide (D-(-)-Norgestrel Glucuronide, Etonogestrel EP Impurity G Glucuronide)

M.F.
M.W. 488.58
CAT# AR-L07086
CAS# NA
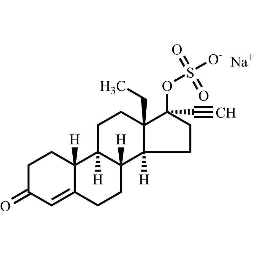
Levonorgestrel Sulfate Sodium Salt (D-(-)-Norgestrel Sulfate Sodium Salt, Etonogestrel EP Impurity G Sulfate Sodium Salt)

M.F.
M.W. 391.51 22.99
CAT# AR-L07087
CAS# NA
Levonorgestrel Impurity 12 (6-Methoxy-1,2,3,4-tetrahydronaphthalene)

M.F.
M.W. 162.23
CAT# AR-L07081
CAS# 1730-48-9