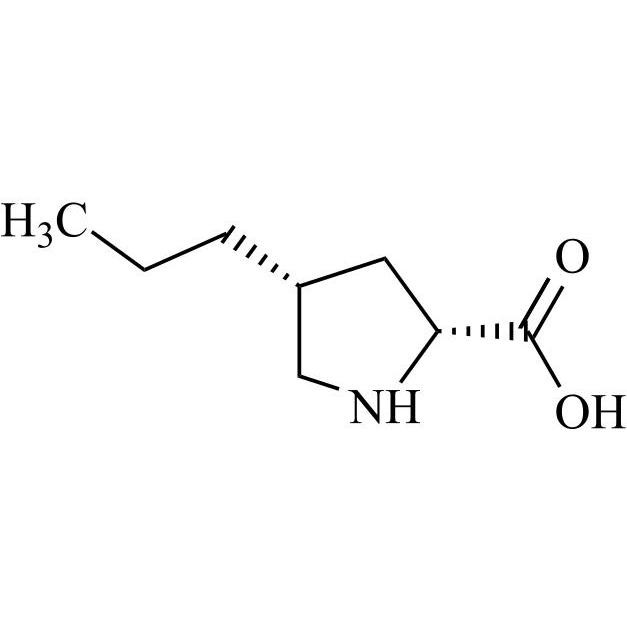
Lincomycin Related Products
Axios Research stands at the forefront of pharmaceutical reference standards ingenuity, providing high quality Lincomycin Reference Standards. These include both pharmacopeial and non-pharmacopeial Lincomycin impurities, metabolites, stable isotope products, and nitrosamines. Our Lincomycin impurity reference standards are essential for pharmaceutical research, aiding in product development, ANDA and DMF submissions, quality control (QC), method validation, and stability studies. They are also used in identifying unknown impurities and evaluating genotoxic potential. Our Lincomycin related products are meticulously characterized and come with a comprehensive Certificates of Analysis (COA) and analytical data that comply with regulatory standards.
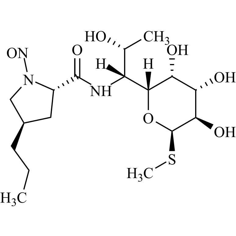
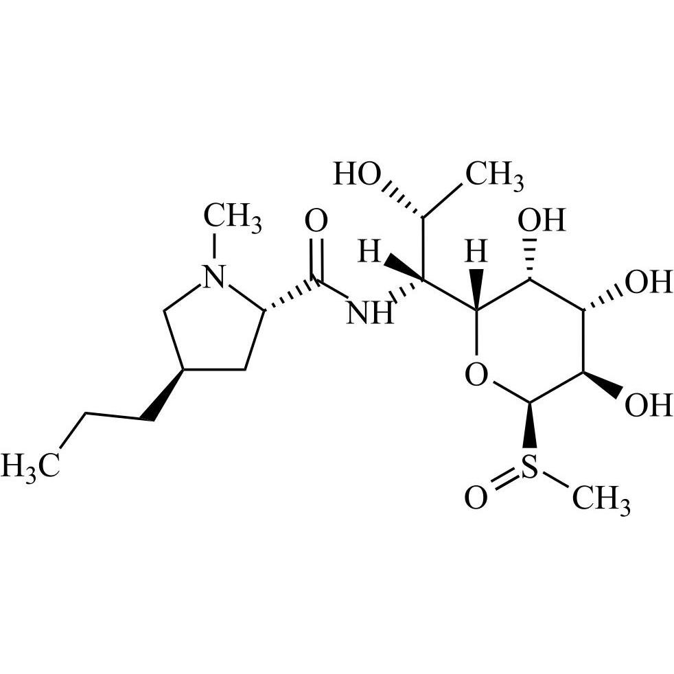
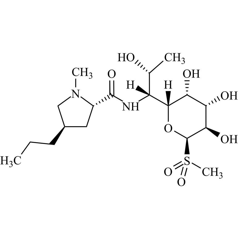
Lincomycin EP Impurity B (Mixture of Z and E Isomers)

M.F.
M.W. 404.52
CAT# AR-L01709
CAS# 37744-65-3
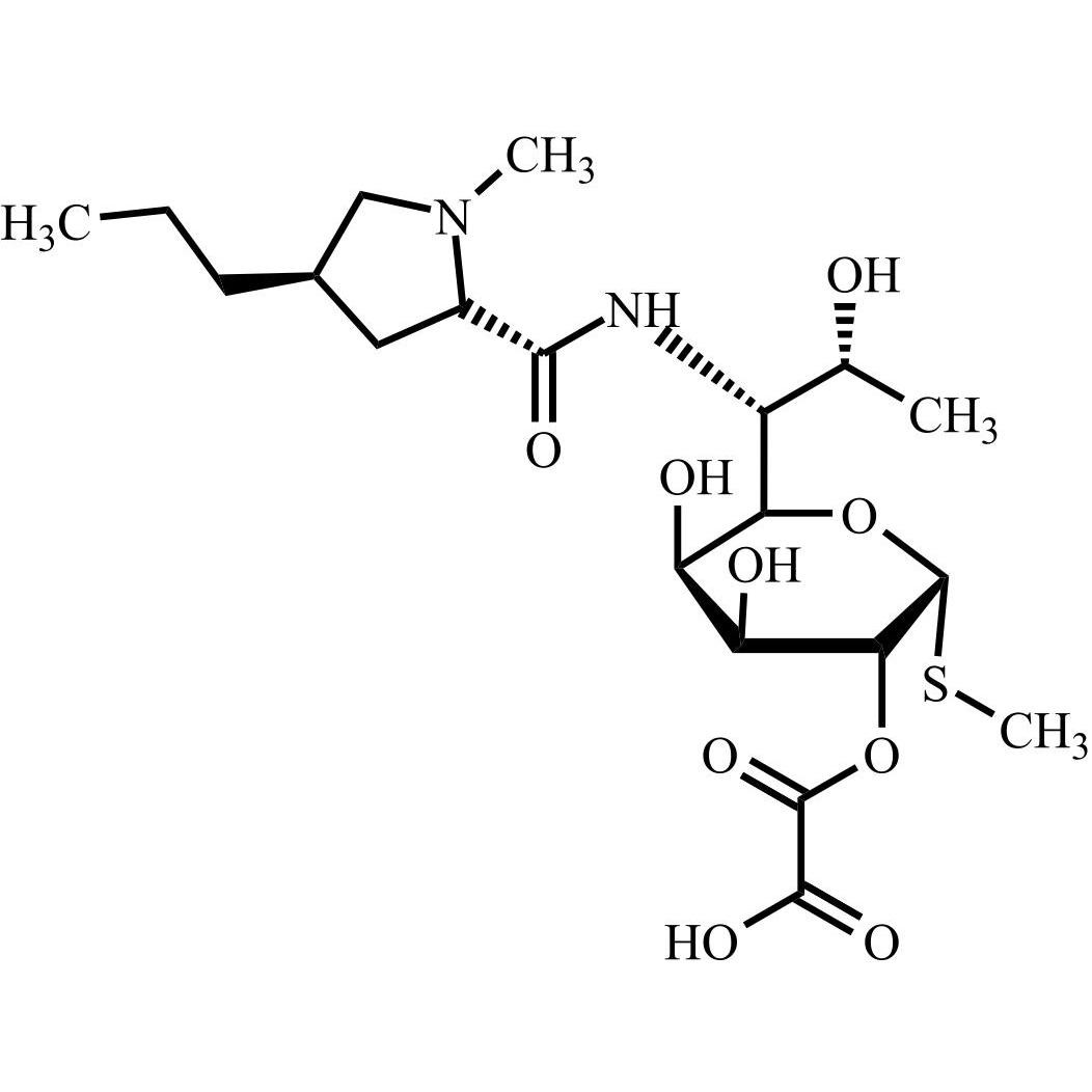
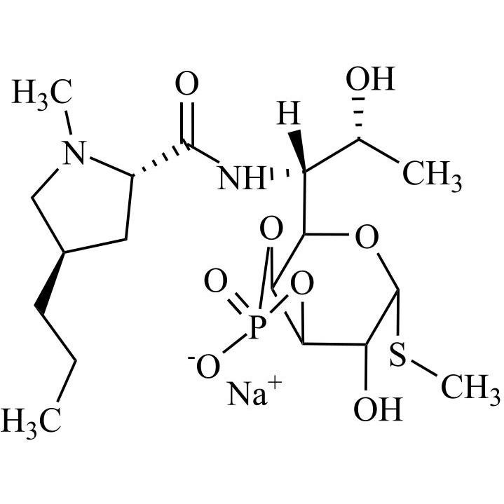
Lincomycin 2,4-Phosphate (Clindamycin Phosphate EP Impurity G)

M.F.
M.W. 468.5
CAT# AR-L01707
CAS# NA
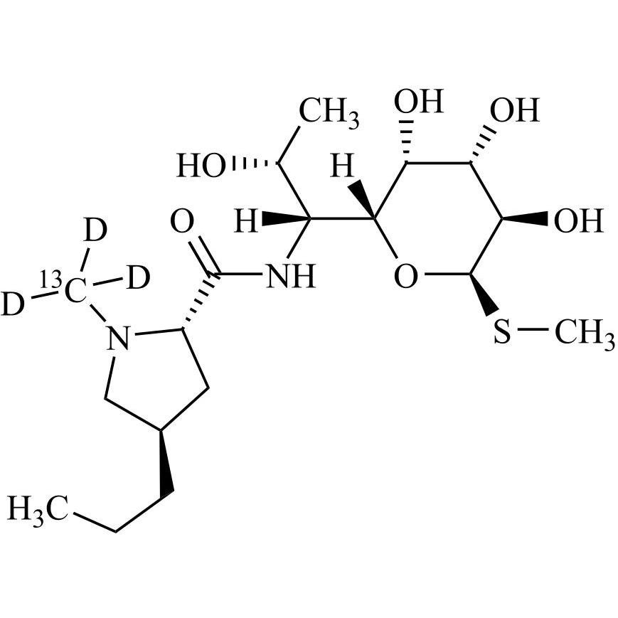
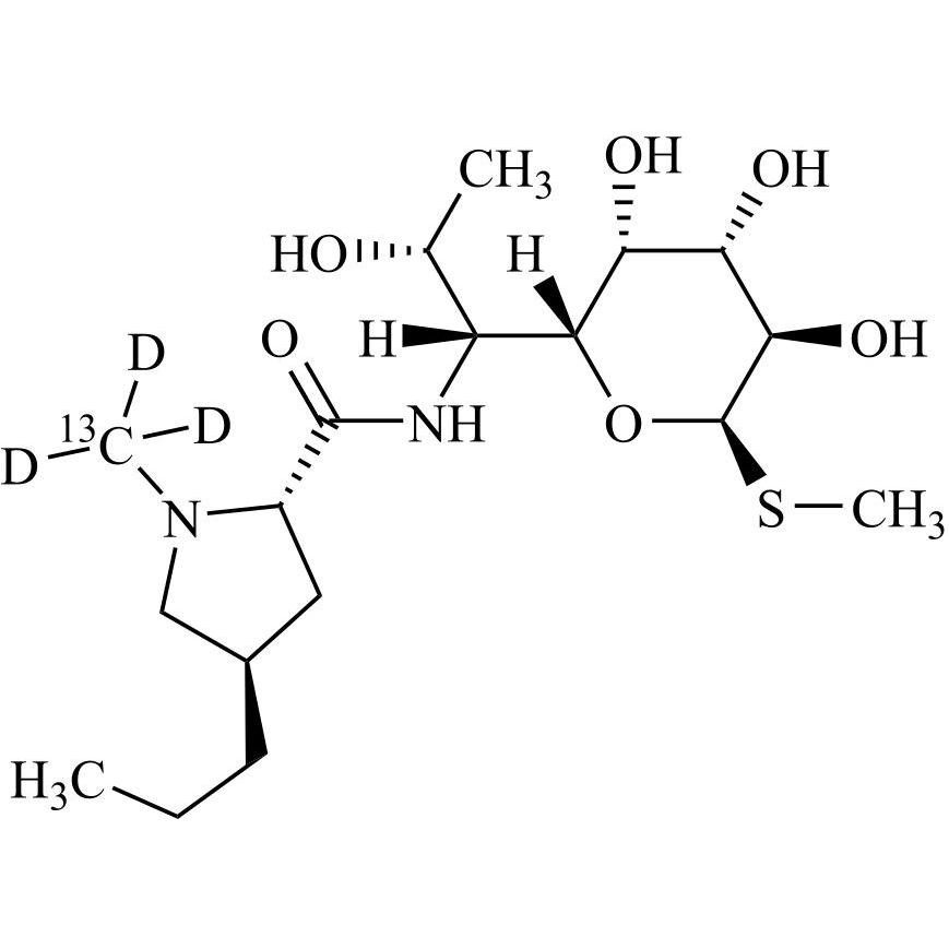
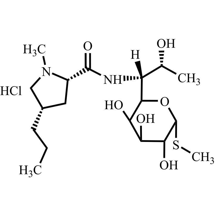
Lincomycin-13C-d3 (Clindamycin Phosphate EP Impurity A-13C-d3)

M.F.
M.W. 410.55
CAT# AR-L07408
CAS# NA