Medetomidine Related Products
Axios Research stands at the forefront of pharmaceutical reference standards ingenuity, providing high quality Medetomidine Reference Standards. These include both pharmacopeial and non-pharmacopeial Medetomidine impurities, metabolites, stable isotope products, and nitrosamines. Our Medetomidine impurity reference standards are essential for pharmaceutical research, aiding in product development, ANDA and DMF submissions, quality control (QC), method validation, and stability studies. They are also used in identifying unknown impurities and evaluating genotoxic potential. Our Medetomidine related products are meticulously characterized and come with a comprehensive Certificates of Analysis (COA) and analytical data that comply with regulatory standards.
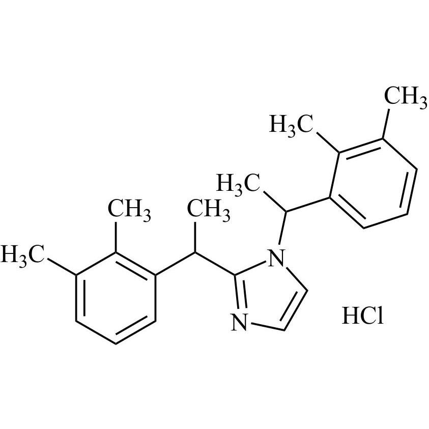
1-(1-Benzyl-1H-imidazol-4-yl)-1-(2,3-dimethylphenyl)ethan-1-ol

M.F.
M.W. 306.4
CAT# AR-M02528
CAS# 1587636-55-2
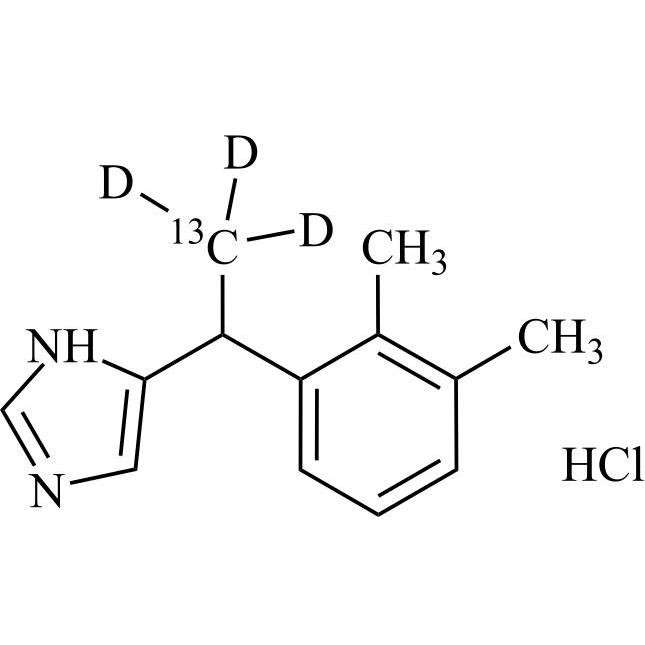
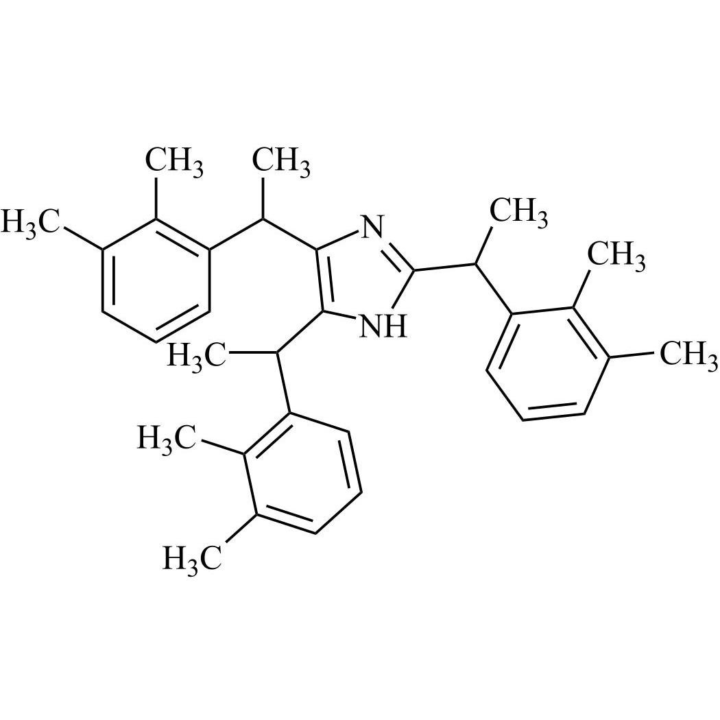
Medetomidine Impurity 28 HCl (Mixture of Diastereomers)

M.F.
M.W. 332.49 36.46
CAT# AR-M04034
CAS# NA