Melphalan Related Products
Axios Research stands at the forefront of pharmaceutical reference standards ingenuity, providing high quality Melphalan Reference Standards. These include both pharmacopeial and non-pharmacopeial Melphalan impurities, metabolites, stable isotope products, and nitrosamines. Our Melphalan impurity reference standards are essential for pharmaceutical research, aiding in product development, ANDA and DMF submissions, quality control (QC), method validation, and stability studies. They are also used in identifying unknown impurities and evaluating genotoxic potential. Our Melphalan related products are meticulously characterized and come with a comprehensive Certificates of Analysis (COA) and analytical data that comply with regulatory standards.
Melphalan Mono-chloroethyl Impurity HCl

M.F.
M.W. 242.71 36.46
CAT# AR-M01319
CAS# 573704-41-3 (free base)
rac-Melphalan EP Impurity A DiHCl

M.F.
M.W. C13H20N2O4. 2 HCl
CAT# AR-M01340
CAS# 18316-80-8 (free base)
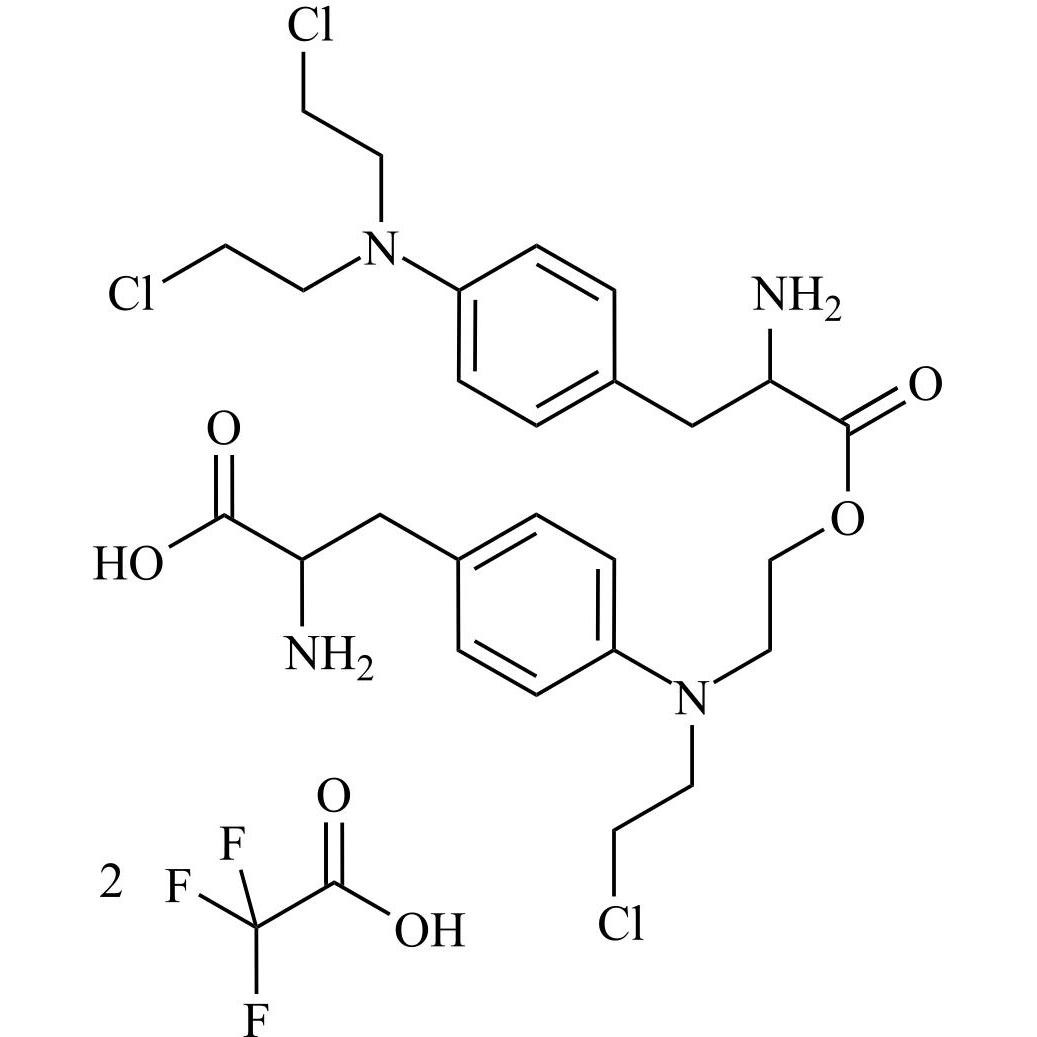
rac-Melphalan EP Impurity G Ditrifluoroacetate (rac-Melphalan Dimer Ditrifluoroacetate) (Mixture of Diastereomers)

M.F.
M.W. 573.94 2*114.02
CAT# AR-M04173
CAS# NA
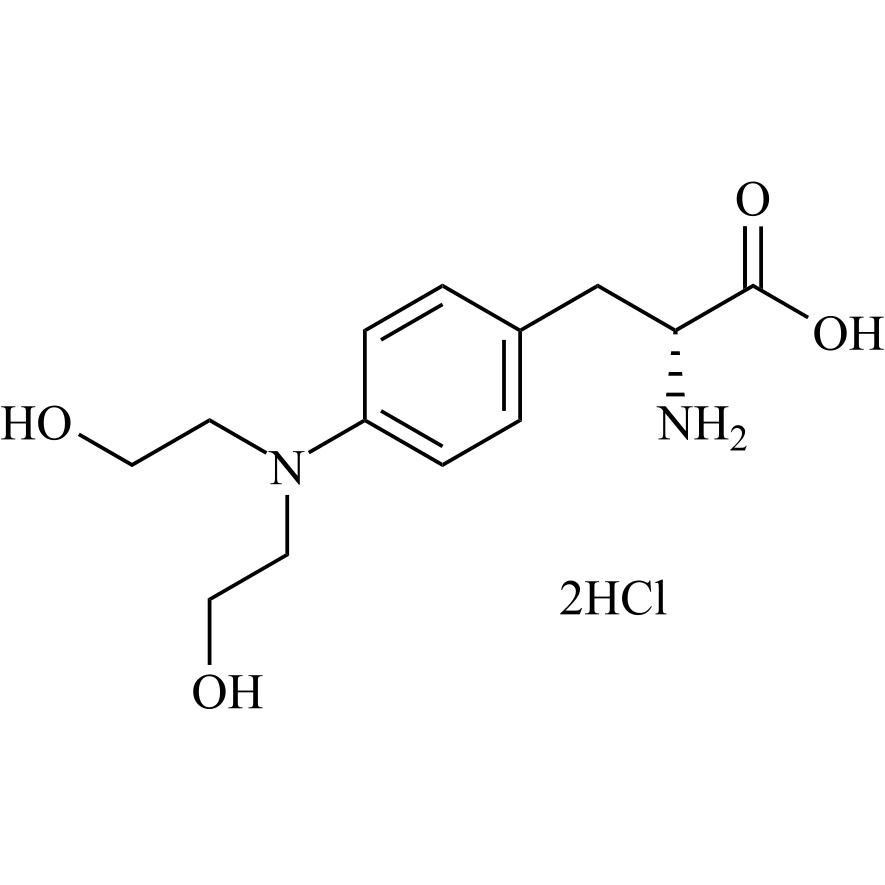
Melphalan EP Impurity A (R-Isomer) DiHCl (Dihydroxy Melphalan (R-Isomer) DiHCl)

M.F.
M.W. 268.31 2*36.46
CAT# AR-M04177
CAS# 297734-03-3
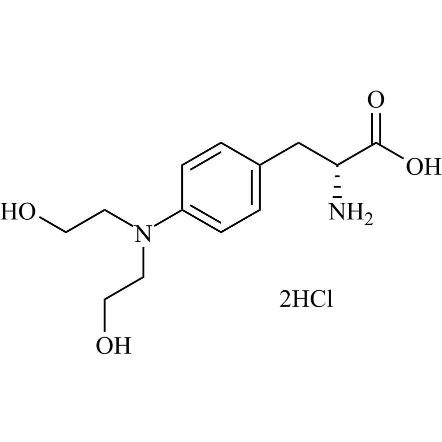
Melphalan EP Impurity A DiHCl (Dihydroxy Melphalan DiHCl)

M.F.
M.W. 268.31 2*36.46
CAT# AR-M04176
CAS# 297734-04-4
N-Ethylethanamine-13C4 (Diethylamine-13C4)

M.F.
M.W. 73.08
CAT# AR-M01341
CAS# 109-89-7 (non-labelled)