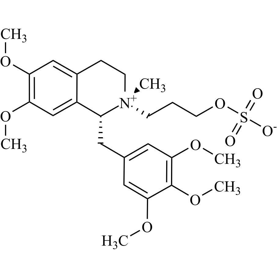
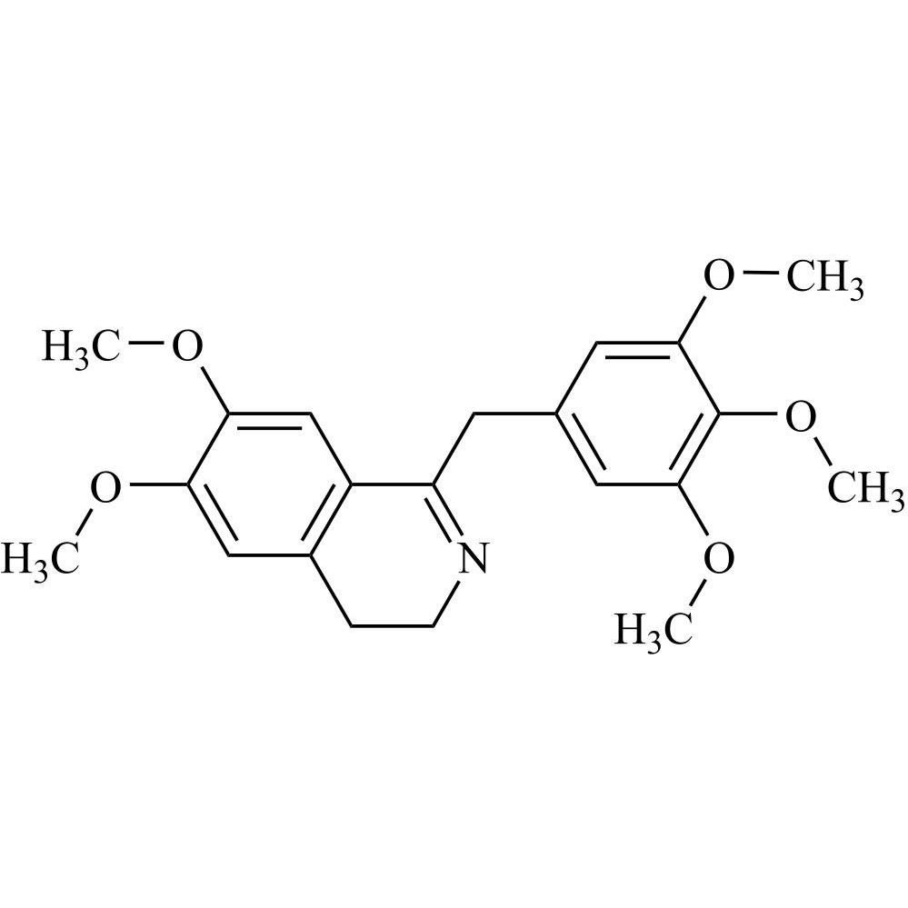
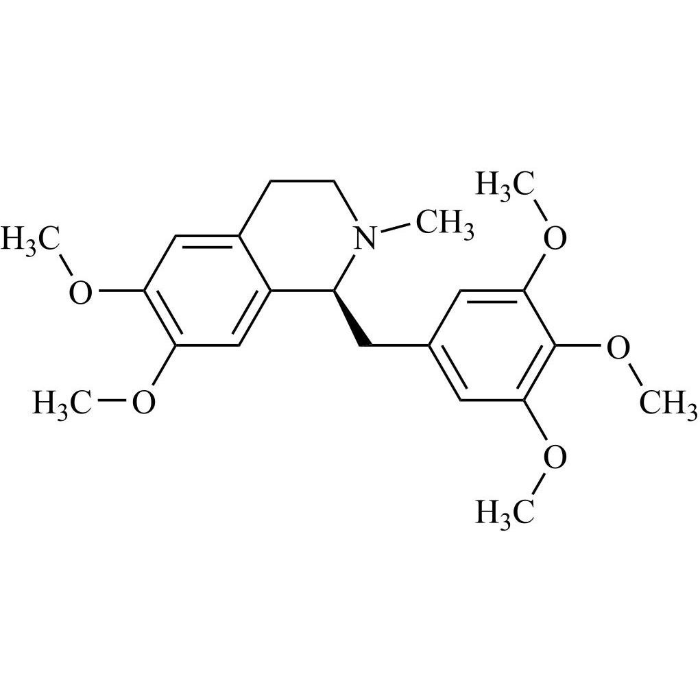
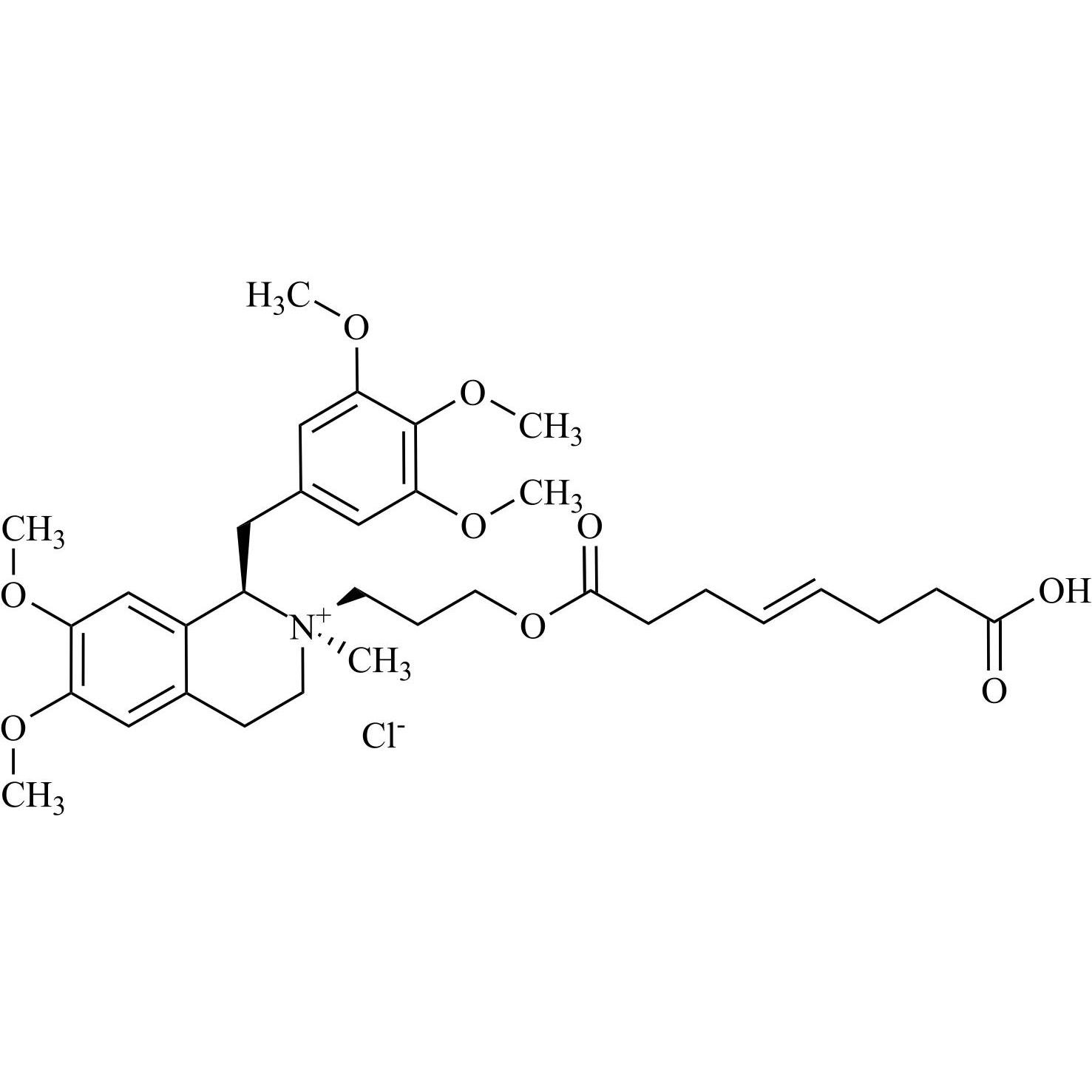
Mivacurium Chloride Related Products
Axios Research stands at the forefront of pharmaceutical reference standards ingenuity, providing high quality Mivacurium Chloride Reference Standards. These include both pharmacopeial and non-pharmacopeial Mivacurium Chloride impurities, metabolites, stable isotope products, and nitrosamines. Our Mivacurium Chloride impurity reference standards are essential for pharmaceutical research, aiding in product development, ANDA and DMF submissions, quality control (QC), method validation, and stability studies. They are also used in identifying unknown impurities and evaluating genotoxic potential. Our Mivacurium Chloride related products are meticulously characterized and come with a comprehensive Certificates of Analysis (COA) and analytical data that comply with regulatory standards.
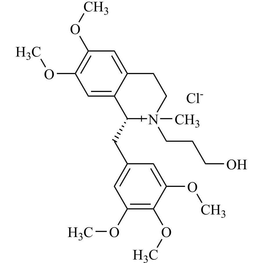
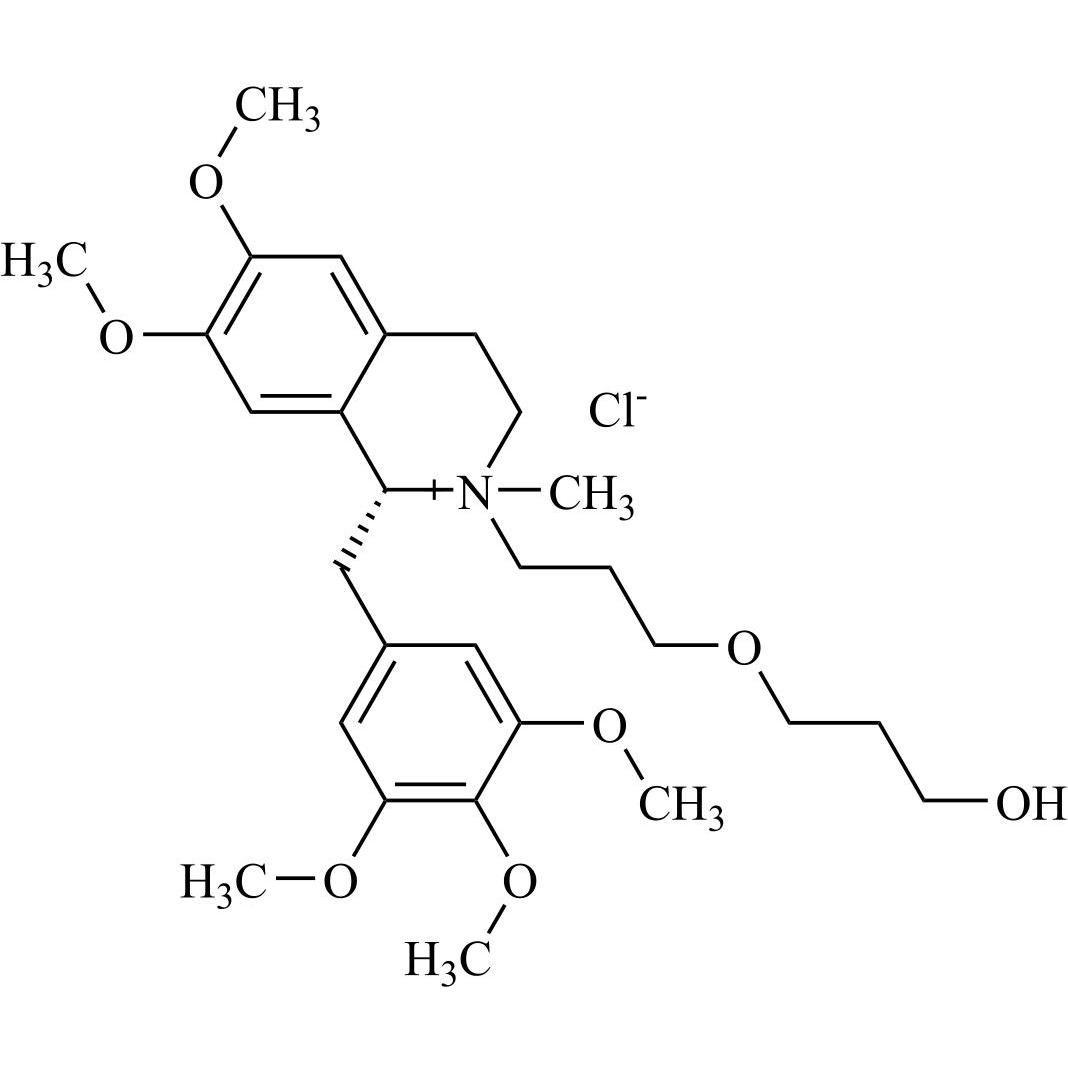
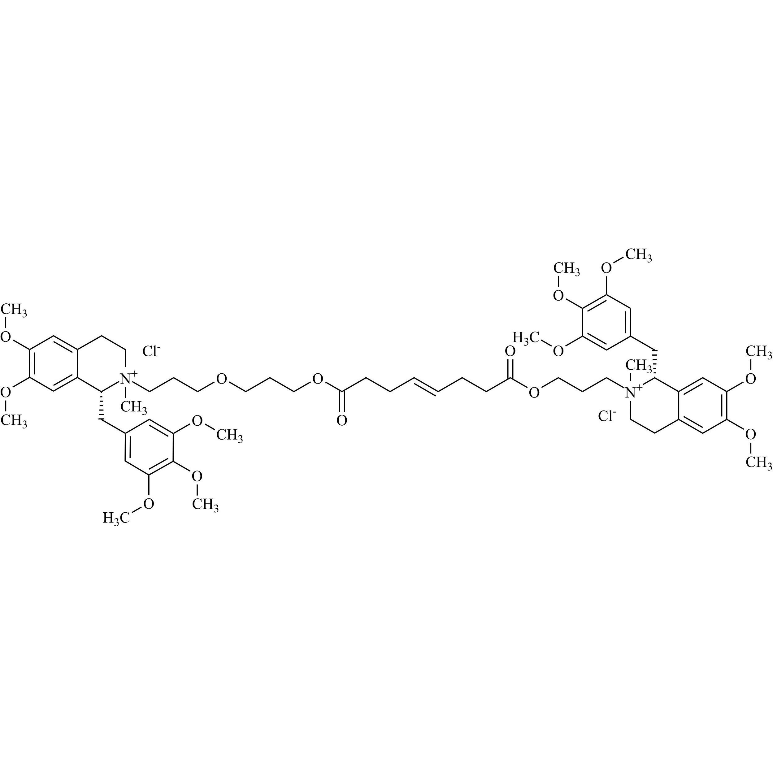
Mivacurium Chloride (Mixture of Diastereomers)
 
			
    M.F.
M.W. 1029.29 2 35.45
CAT# AR-M02115
CAS# 106861-44-3
 
 
             
			 
			 
			 
			 
			 
			 
			 
			 
			 
			 
			 
			 
			 
			 
			 
			 
			 
			 
			 
			 
			 
			 
			 
			 
			 
			 
			 
			 
			 
			 
			 
			