N-Nitroso Alvimopan is a fully characterized chemical compound used as a reference standard of API Alvimopan. The standard offered is compliant with regulatory guidelines. N-Nitroso Alvimopan is used for analytical method development, method validation (AMV), and Quality Controlled (QC) applications during synthesis and formulation stages of drug development and serves as a reference standard for traceability against pharmacopeial standards (USP or EP). Axios Research products are intended for analytical purposes only and are not for human use. CAS - NA
Related products
Alvimopan-d5 (Mixture of Diastereomers)

M.F.
M.W. 429.57
CAT# AR-A01799
CAS# 660848-76-0 (non-labelled)
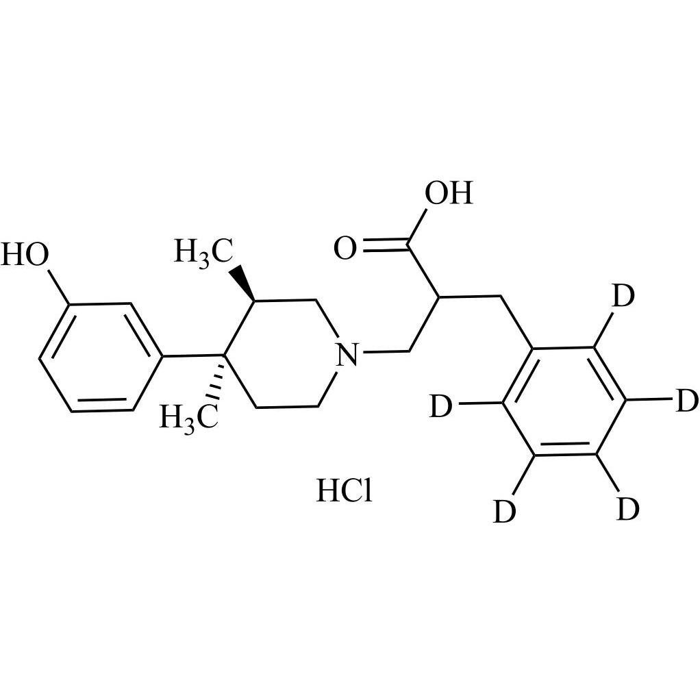
Alvimopan-d5 Metabolite HCl (Mixture of Diastereomers)

M.F.
M.W. 372.52 36.46
CAT# AR-A06076
CAS# NA