Nicorandil Related Products
Axios Research stands at the forefront of pharmaceutical reference standards ingenuity, providing high quality Nicorandil Reference Standards. These include both pharmacopeial and non-pharmacopeial Nicorandil impurities, metabolites, stable isotope products, and nitrosamines. Our Nicorandil impurity reference standards are essential for pharmaceutical research, aiding in product development, ANDA and DMF submissions, quality control (QC), method validation, and stability studies. They are also used in identifying unknown impurities and evaluating genotoxic potential. Our Nicorandil related products are meticulously characterized and come with a comprehensive Certificates of Analysis (COA) and analytical data that comply with regulatory standards.
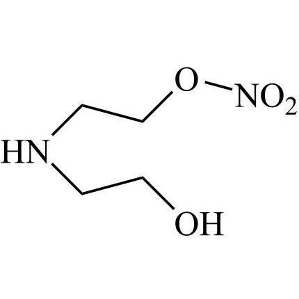
Nicorandil Impurity 4 Dinitrate

M.F.
M.W. 359.34 2 63.01
CAT# AR-N01399
CAS# 1798026-96-6 (free base)
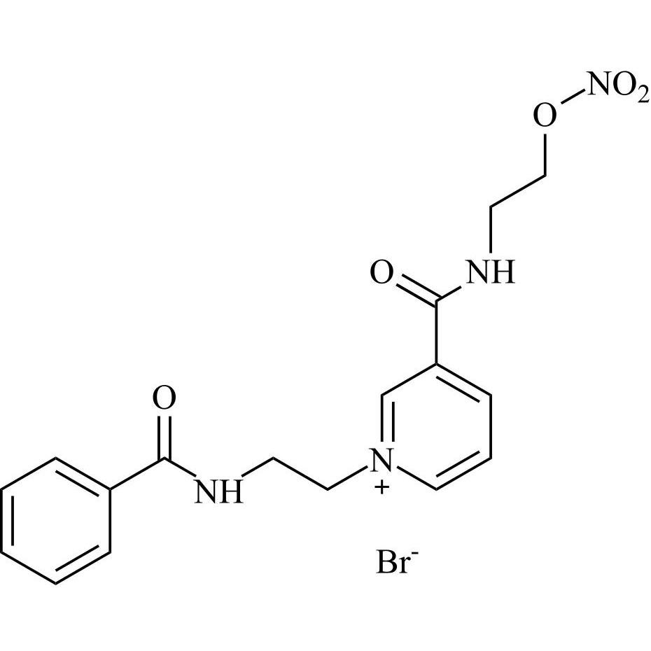
Nicorandil Impurity 18 Bromide (Nicorandil Dimer Bromide)

M.F.
M.W. 360.35 79.90
CAT# AR-N08569
CAS# 2250142-73-3