Nitrosamines Related Products
Axios Research stands at the forefront of pharmaceutical reference standards ingenuity, providing high quality Nitrosamines Reference Standards. These include both pharmacopeial and non-pharmacopeial Nitrosamines impurities, metabolites, stable isotope products, and nitrosamines. Our Nitrosamines impurity reference standards are essential for pharmaceutical research, aiding in product development, ANDA and DMF submissions, quality control (QC), method validation, and stability studies. They are also used in identifying unknown impurities and evaluating genotoxic potential. Our Nitrosamines related products are meticulously characterized and come with a comprehensive Certificates of Analysis (COA) and analytical data that comply with regulatory standards.
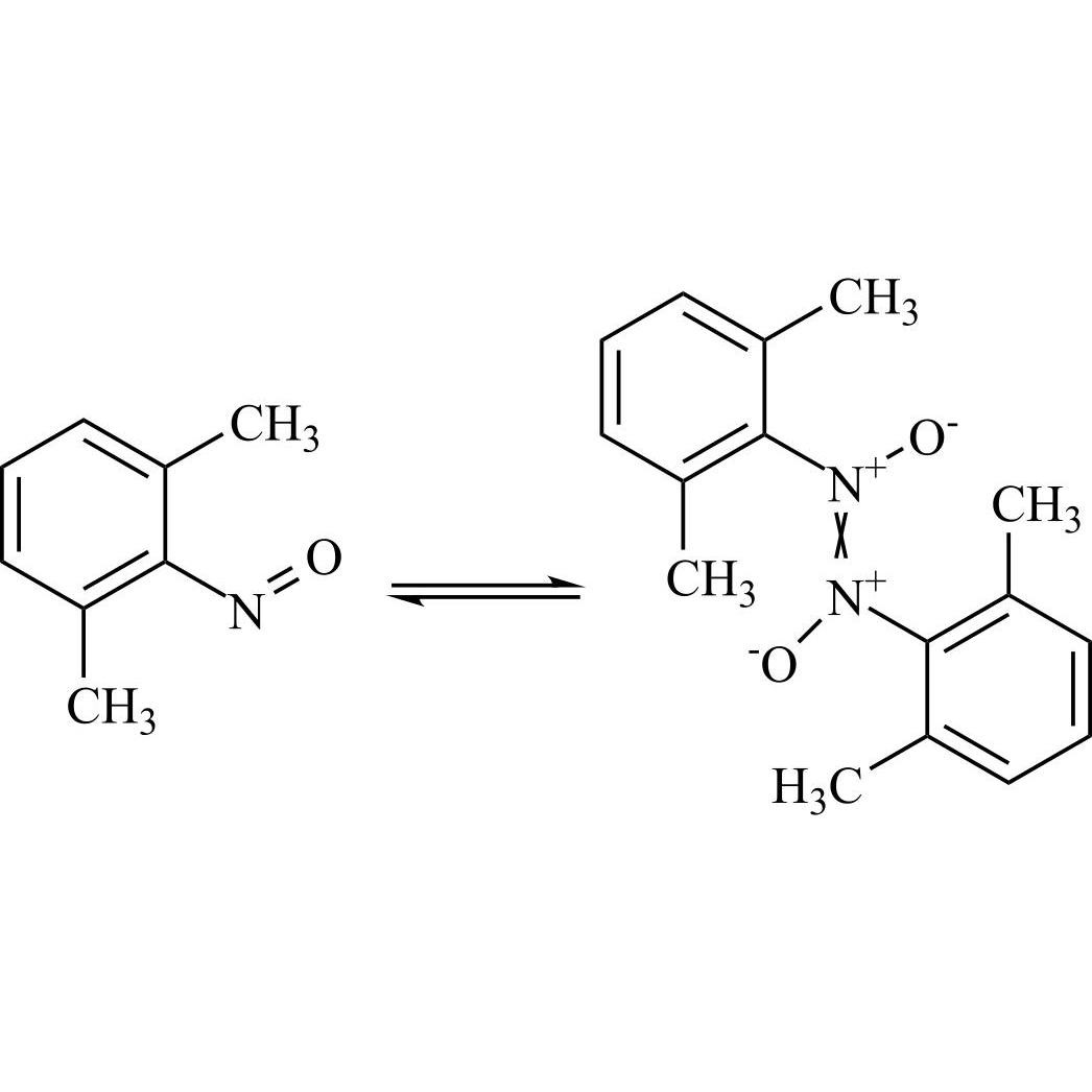
1,3-Dimethyl-2-Nitrosobenzene (Mixture of Monomer and Dimer)

M.F.
M.W. 135.17, 270.33
CAT# AR-N08201
CAS# NA