Norgestimate Related Products
Axios Research stands at the forefront of pharmaceutical reference standards ingenuity, providing high quality Norgestimate Reference Standards. These include both pharmacopeial and non-pharmacopeial Norgestimate impurities, metabolites, stable isotope products, and nitrosamines. Our Norgestimate impurity reference standards are essential for pharmaceutical research, aiding in product development, ANDA and DMF submissions, quality control (QC), method validation, and stability studies. They are also used in identifying unknown impurities and evaluating genotoxic potential. Our Norgestimate related products are meticulously characterized and come with a comprehensive Certificates of Analysis (COA) and analytical data that comply with regulatory standards.
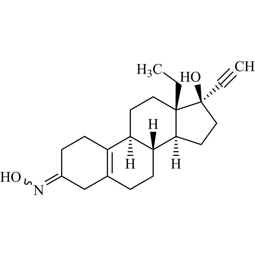
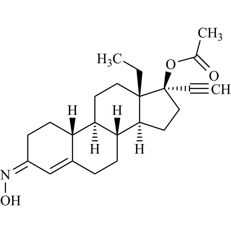
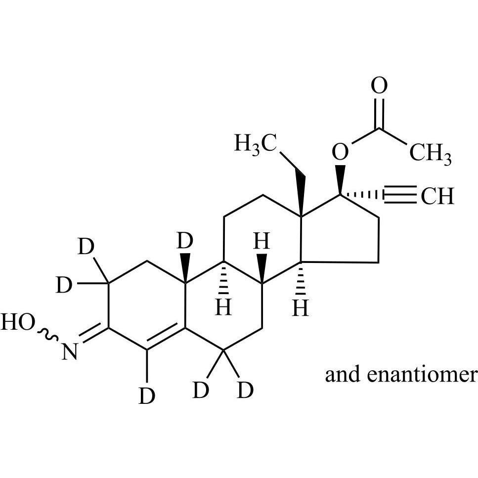
17-Desacetyl Norgestimate-d7 (Mixture of Isomers)

M.F.
M.W. 334.51
CAT# AR-N01796
CAS# 53016-31-2 (non-labelled)