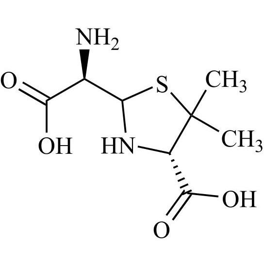
Benzyl Penicilloic Acid HCl (Mixture of Diastereomers)

M.F.
M.W. 352.41 36.46
CAT# AR-P01403
CAS# NA
Axios Research stands at the forefront of pharmaceutical reference standards ingenuity, providing high quality Penicillin Reference Standards. These include both pharmacopeial and non-pharmacopeial Penicillin impurities, metabolites, stable isotope products, and nitrosamines. Our Penicillin impurity reference standards are essential for pharmaceutical research, aiding in product development, ANDA and DMF submissions, quality control (QC), method validation, and stability studies. They are also used in identifying unknown impurities and evaluating genotoxic potential. Our Penicillin related products are meticulously characterized and come with a comprehensive Certificates of Analysis (COA) and analytical data that comply with regulatory standards.
M.F.
M.W. 352.41 36.46
CAT# AR-P01403
CAS# NA
M.F.
M.W. 352.41
CAT# AR-P27107
CAS# 87492-68-0
M.F.
M.W. 351.40 22.99
CAT# AR-P01402
CAS# N/A
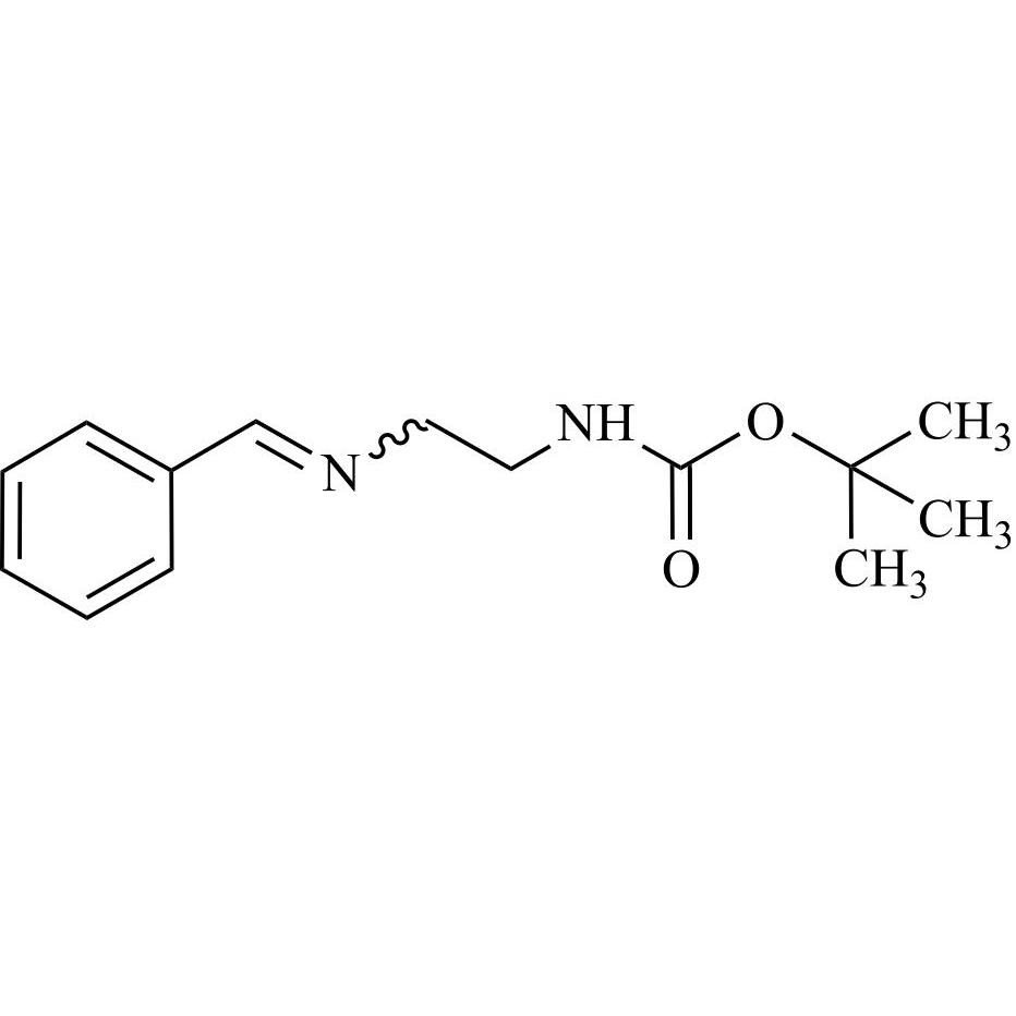
M.F.
M.W. 308.40
CAT# AR-B02378
CAS# 2714749-47-8
M.F.
M.W. 313.40 39.10
CAT# AR-P01397
CAS# 31447-86-6
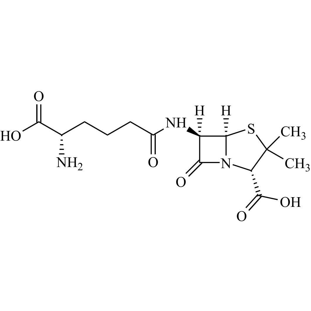
M.F.
M.W. 574.74
CAT# AR-P30654
CAS# NA
M.F.
M.W. 351.40 22.99
CAT# AR-P30653
CAS# NA
M.F.
M.W. 603.25
CAT# AR-P33619
CAS# NA
M.F.
M.W. 338.41 39.10
CAT# AR-P01395
CAS# 113-98-4 (non-labelled)
M.F.
M.W. 379.52
CAT# AR-P33583
CAS# 352323-25-2
Can't find what you are looking for?
Inquire Now