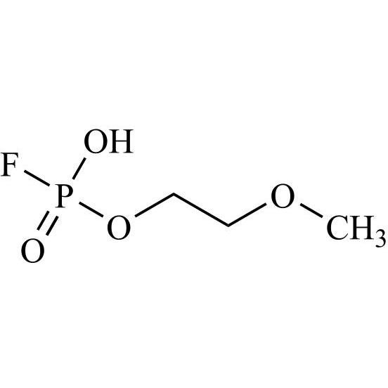
Disodium Hydrogen Phosphate Dihydrate

M.F.
M.W. 2 22.99 95.98 2 18.02
CAT# AR-P01812
CAS# 10028-24-7
Axios Research stands at the forefront of pharmaceutical reference standards ingenuity, providing high quality Phosphate Reference Standards. These include both pharmacopeial and non-pharmacopeial Phosphate impurities, metabolites, stable isotope products, and nitrosamines. Our Phosphate impurity reference standards are essential for pharmaceutical research, aiding in product development, ANDA and DMF submissions, quality control (QC), method validation, and stability studies. They are also used in identifying unknown impurities and evaluating genotoxic potential. Our Phosphate related products are meticulously characterized and come with a comprehensive Certificates of Analysis (COA) and analytical data that comply with regulatory standards.
M.F.
M.W. 2 22.99 95.98 2 18.02
CAT# AR-P01812
CAS# 10028-24-7
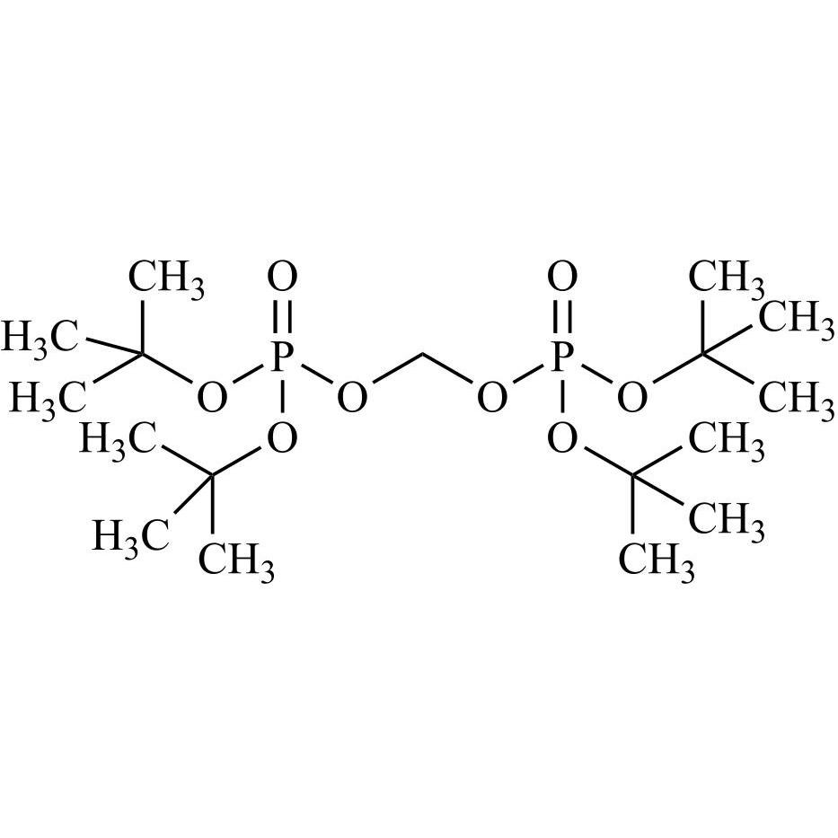
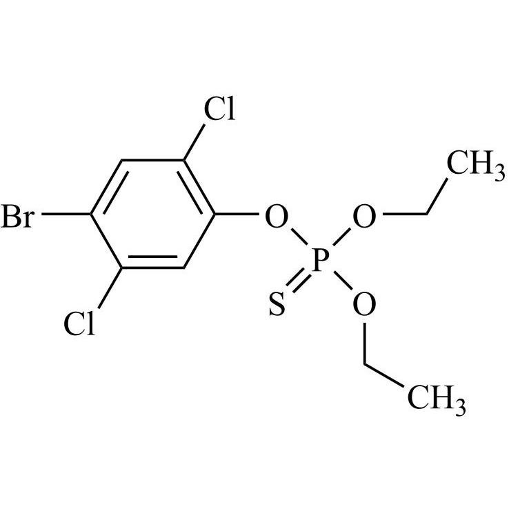
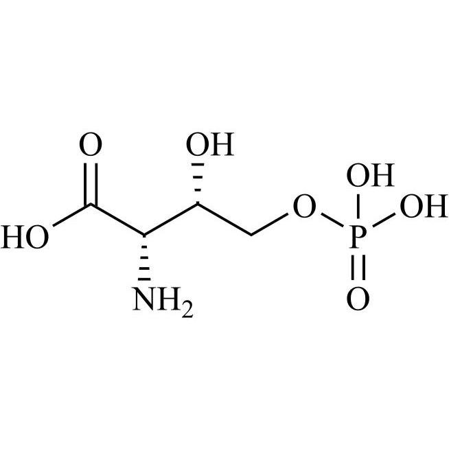
M.F.
M.W. 285.04
CAT# AR-P31400
CAS# 935682-15-8
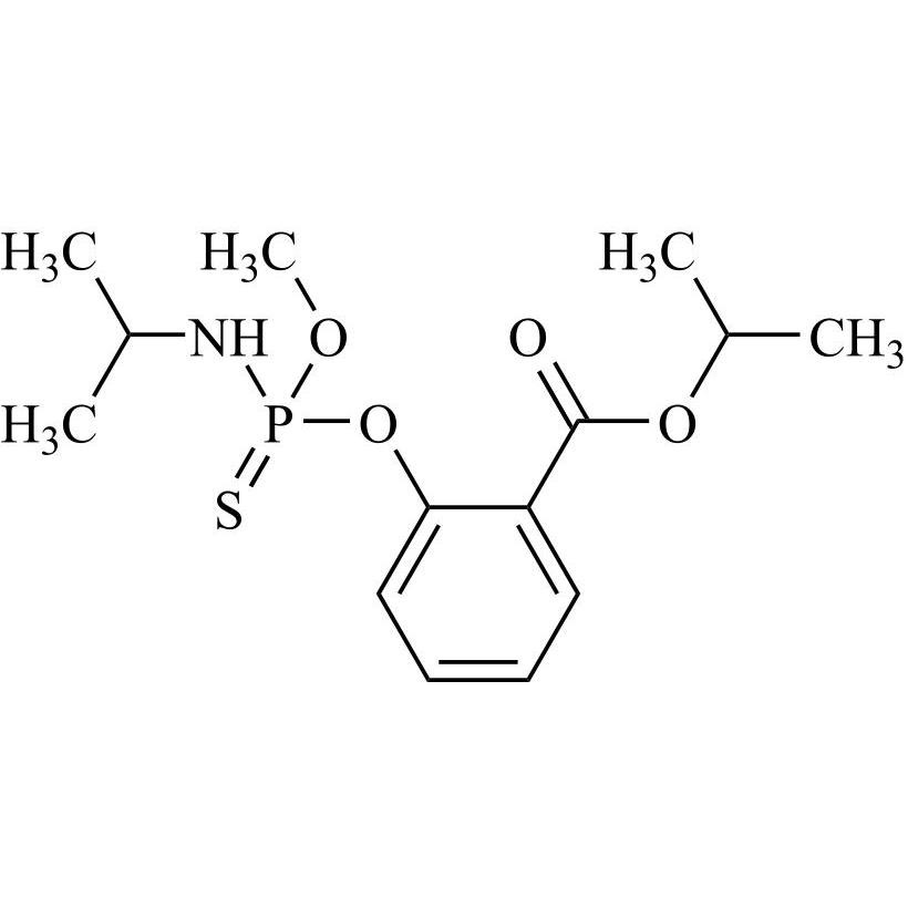
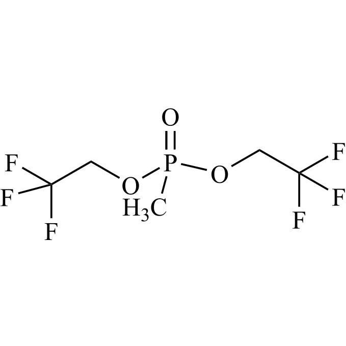
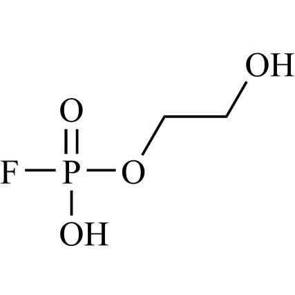
M.F.
M.W. 162.12
CAT# AR-P31392
CAS# 59474-17-8
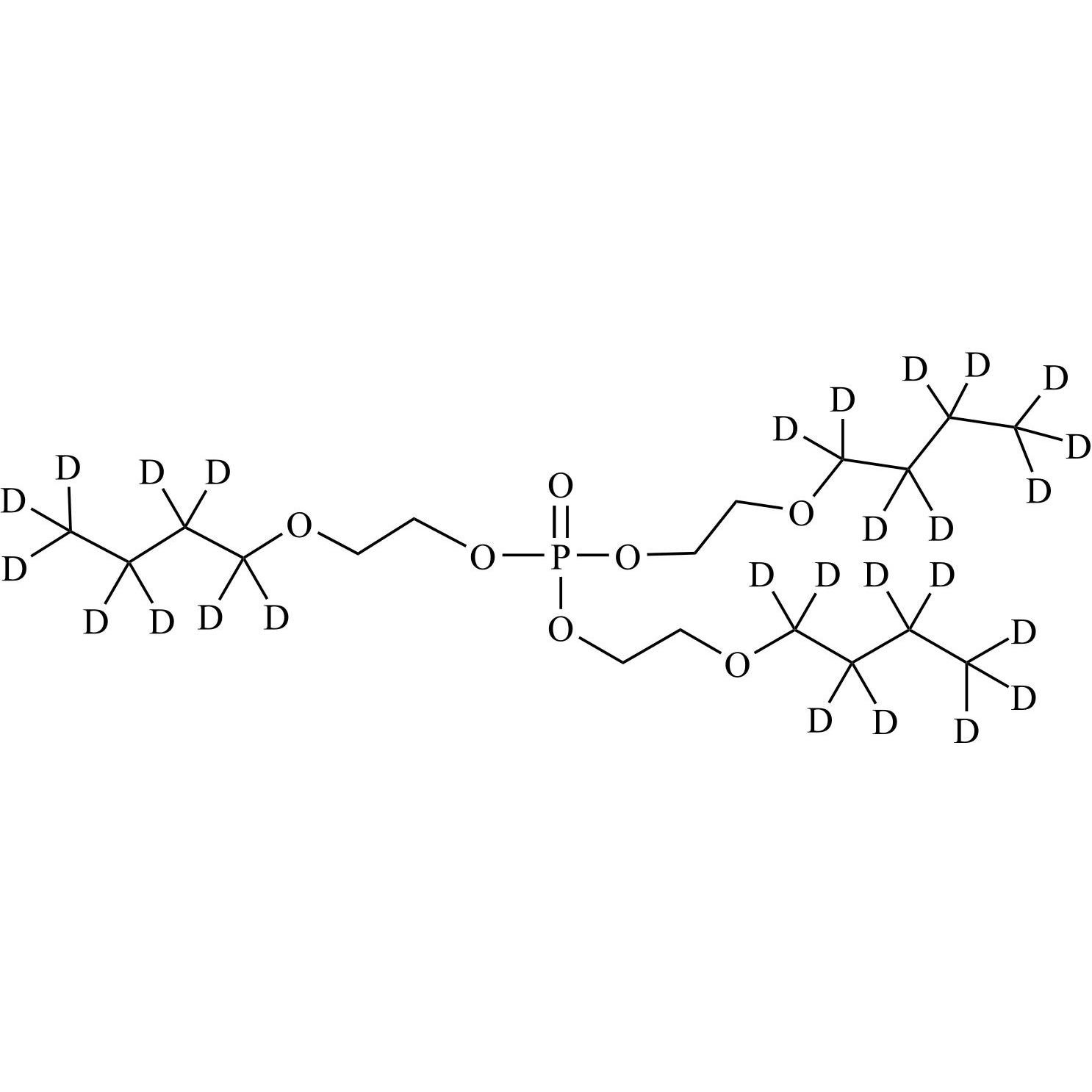
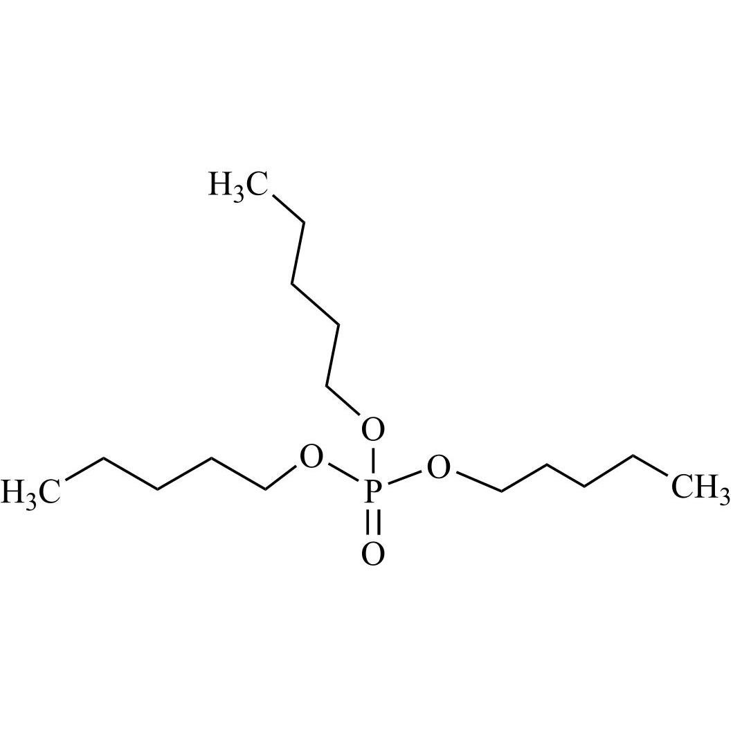
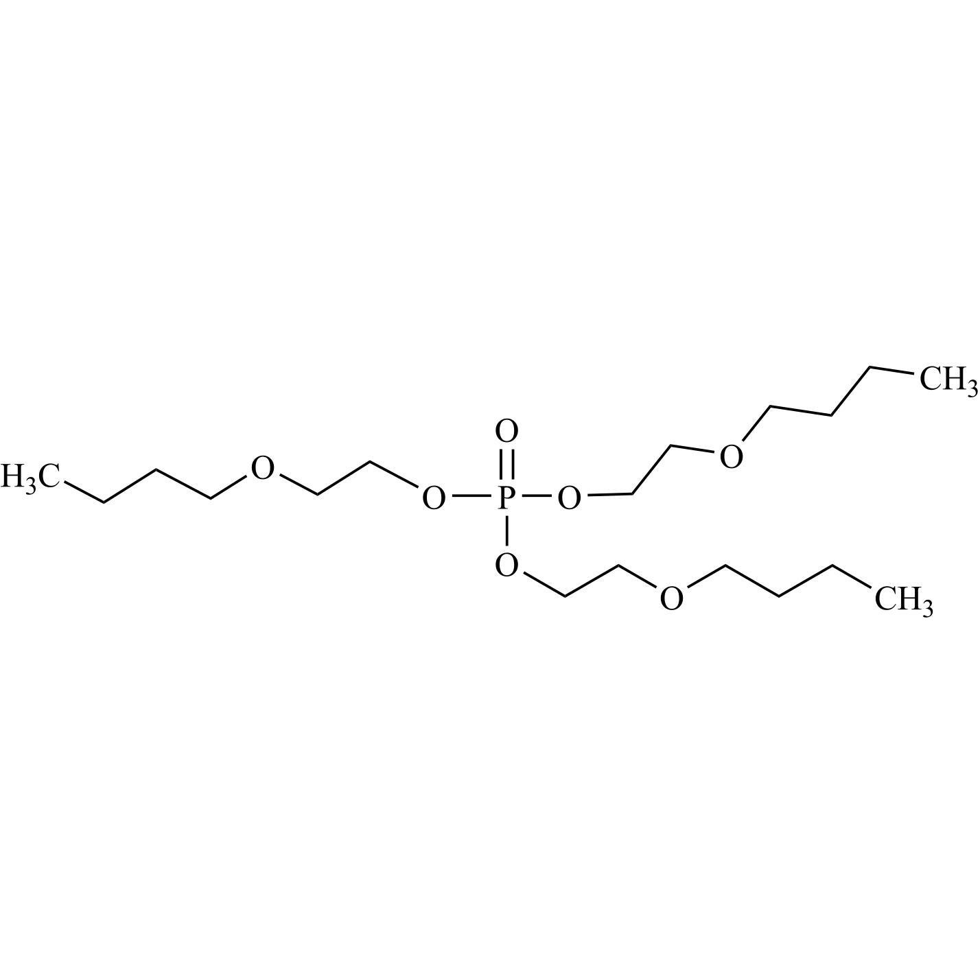
M.F.
M.W. 315.16
CAT# AR-P31421
CAS# NA
Can't find what you are looking for?
Inquire Now