Phoxim Related Products

Axios Research stands at the forefront of pharmaceutical reference standards ingenuity, providing high quality Phoxim Reference Standards. These include both pharmacopeial and non-pharmacopeial Phoxim impurities, metabolites, stable isotope products, and nitrosamines. Our Phoxim impurity reference standards are essential for pharmaceutical research, aiding in product development, ANDA and DMF submissions, quality control (QC), method validation, and stability studies. They are also used in identifying unknown impurities and evaluating genotoxic potential. Our Phoxim related products are meticulously characterized and come with a comprehensive Certificates of Analysis (COA) and analytical data that comply with regulatory standards.

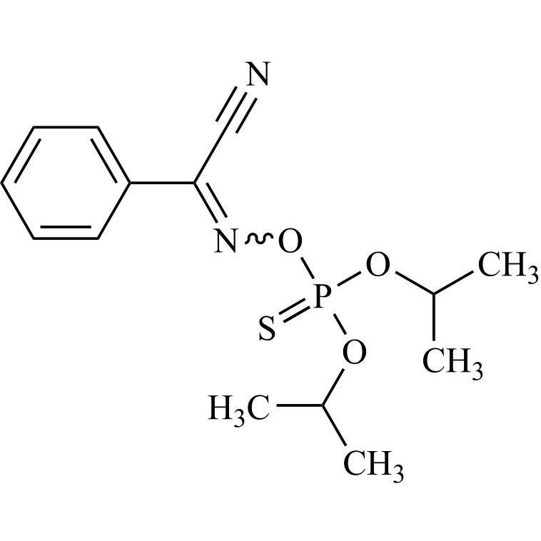
Phoxim

Picture of Phoxim

M.F.

M.W. 298.3

CAT# AR-P01840

CAS# 14816-18-3

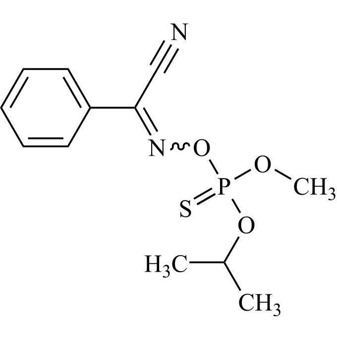
Phoxim-d5

Picture of Phoxim-d5

M.F.

M.W. 303.33

CAT# AR-P01841

CAS# 14816-18-3 (non-labelled)

Can't find what you are looking for?

Inquire Now