Phthalate Related Products
Axios Research stands at the forefront of pharmaceutical reference standards ingenuity, providing high quality Phthalate Reference Standards. These include both pharmacopeial and non-pharmacopeial Phthalate impurities, metabolites, stable isotope products, and nitrosamines. Our Phthalate impurity reference standards are essential for pharmaceutical research, aiding in product development, ANDA and DMF submissions, quality control (QC), method validation, and stability studies. They are also used in identifying unknown impurities and evaluating genotoxic potential. Our Phthalate related products are meticulously characterized and come with a comprehensive Certificates of Analysis (COA) and analytical data that comply with regulatory standards.
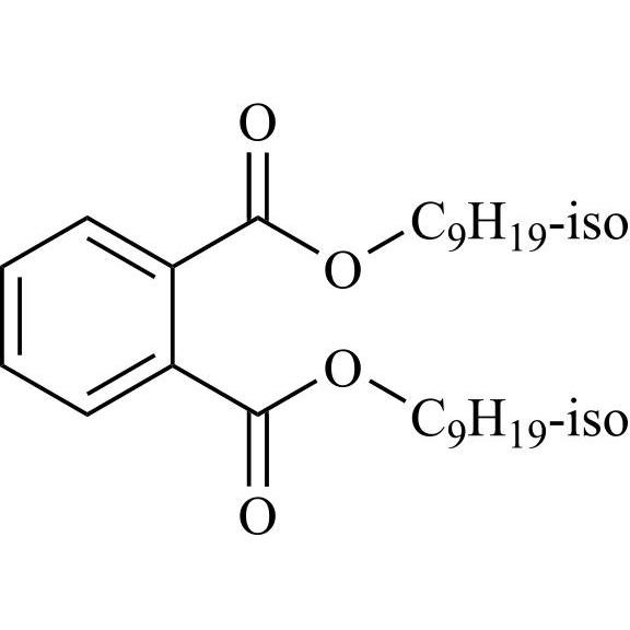
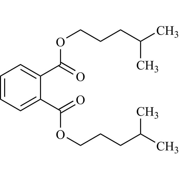
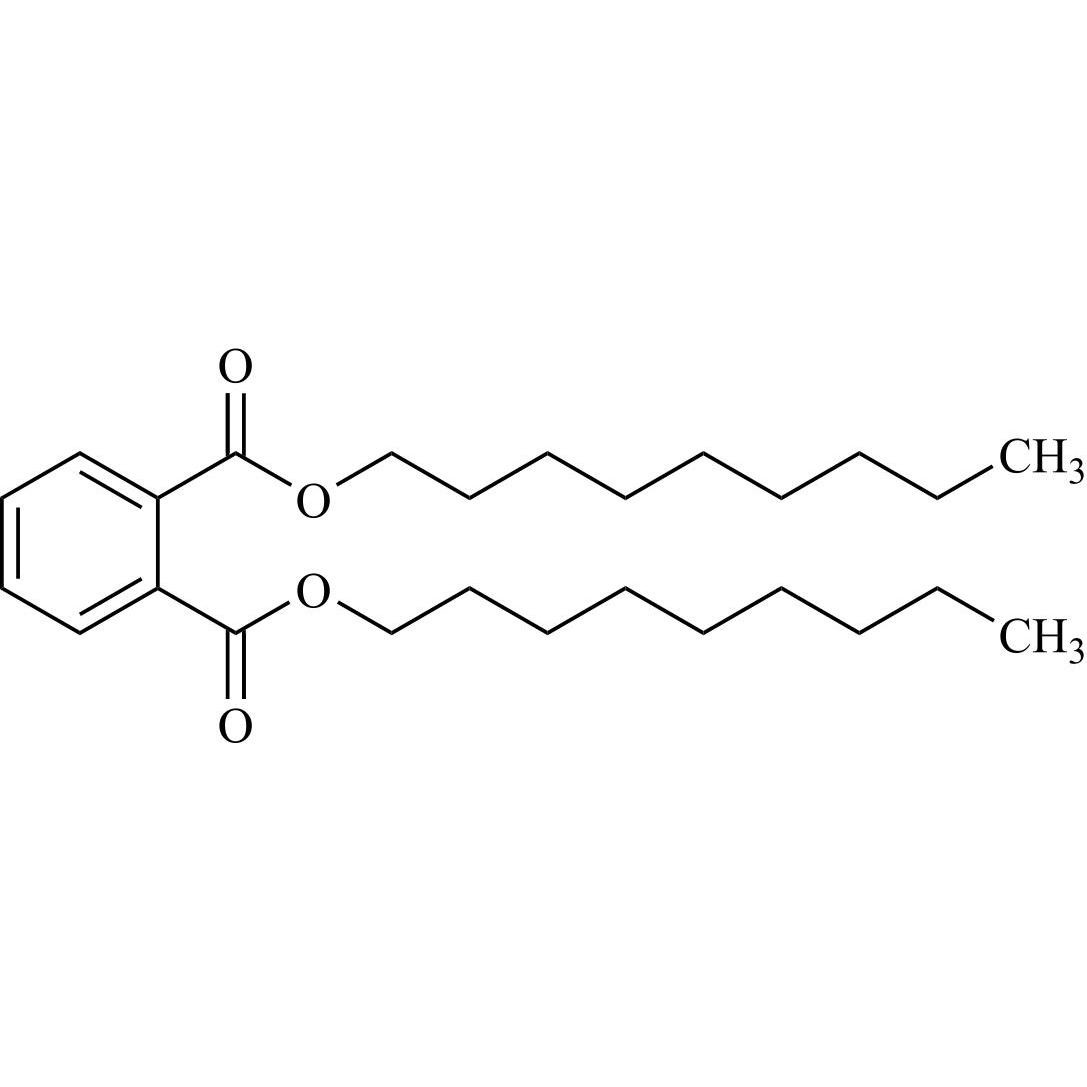
Diisononyl Phthalate (Mixture of Branched Chain Isomers)
M.F.
M.W. 418.62
CAT# AR-P31502
CAS# 28553-12-0
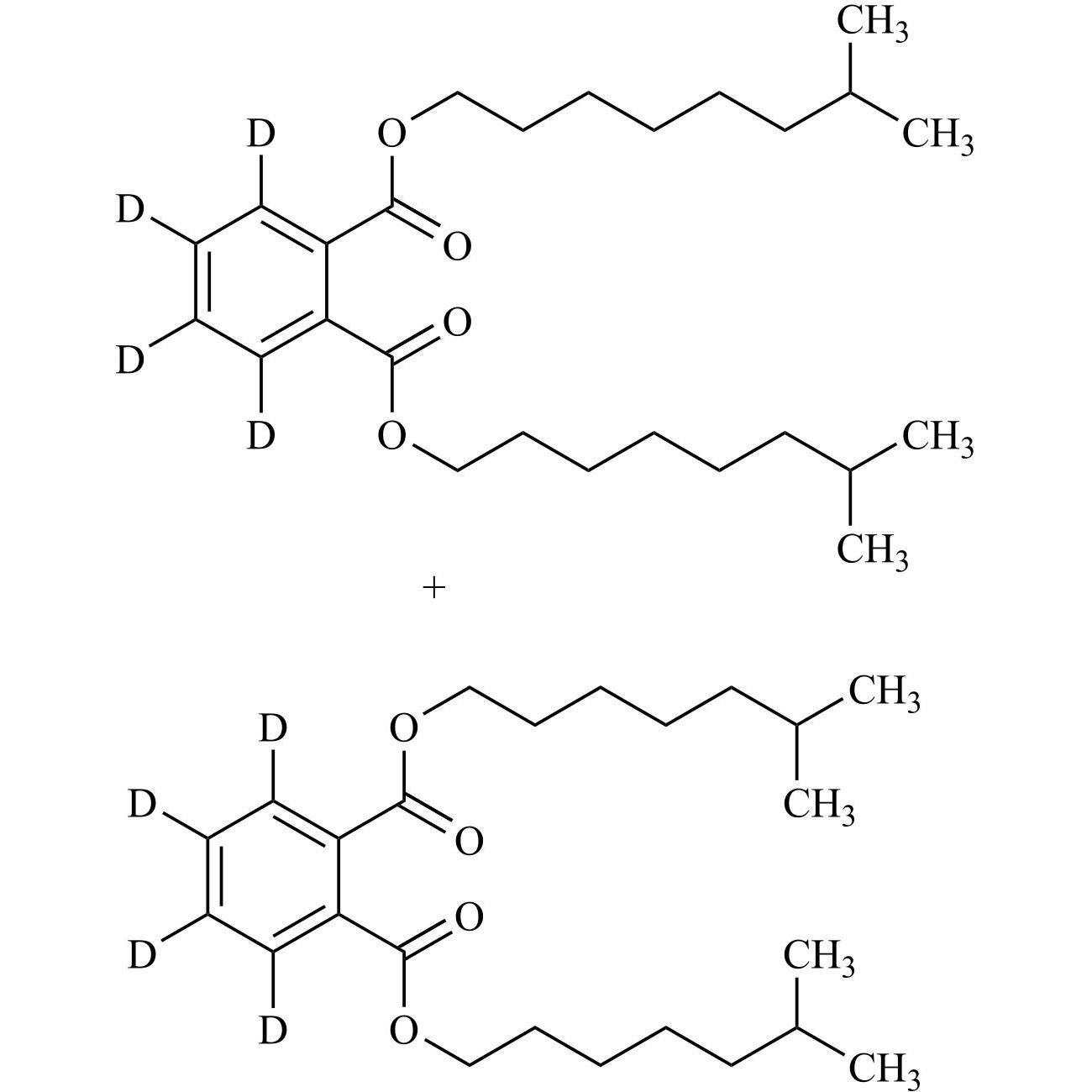
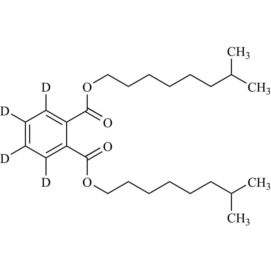
Diisononyl Phthalate-d4 (Mixture of C8-C9, C9-rich Chain Isomers)
M.F.
M.W. 422.64 394.59
CAT# AR-P31516
CAS# NA