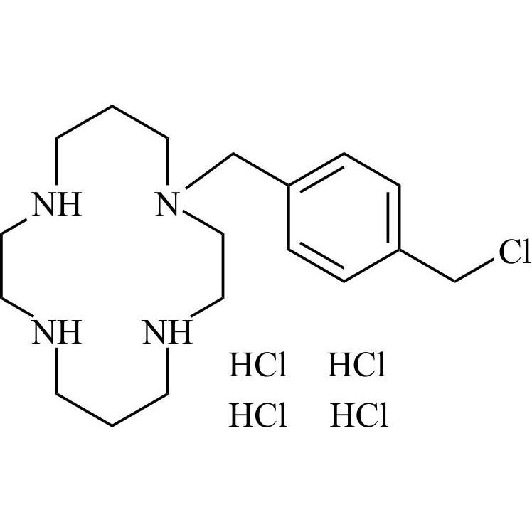
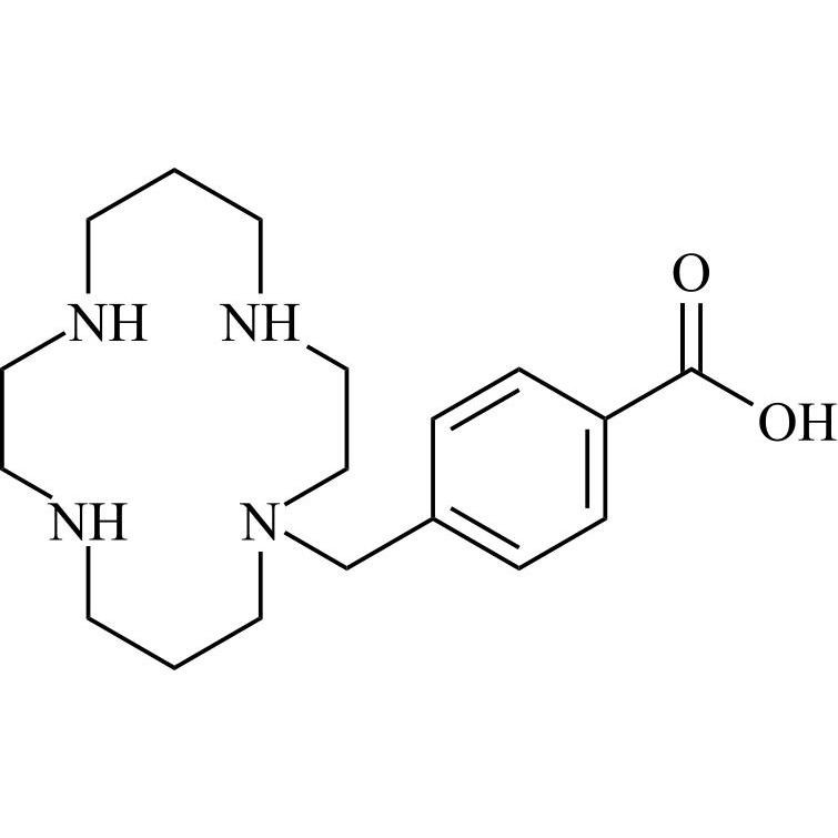
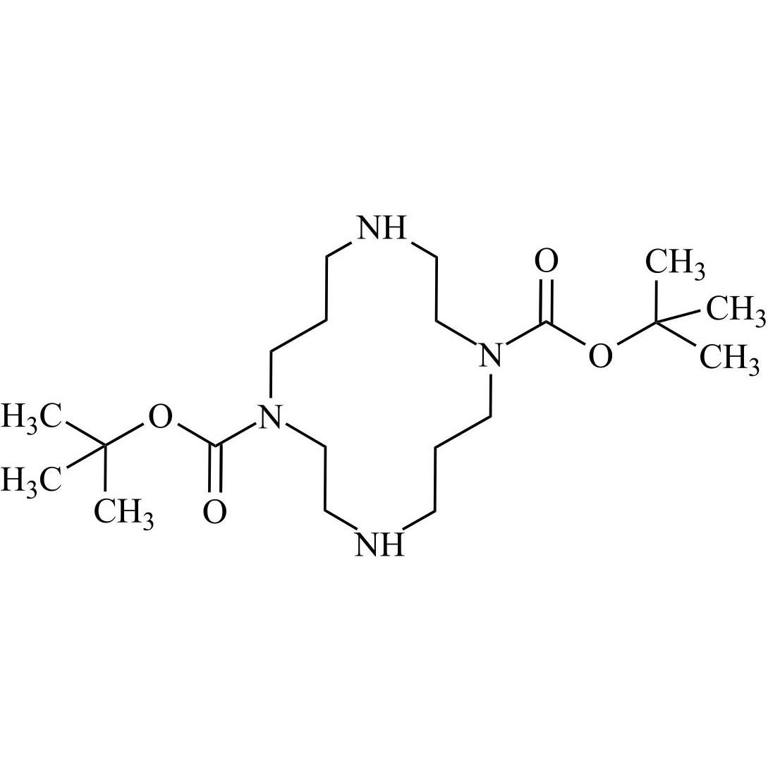
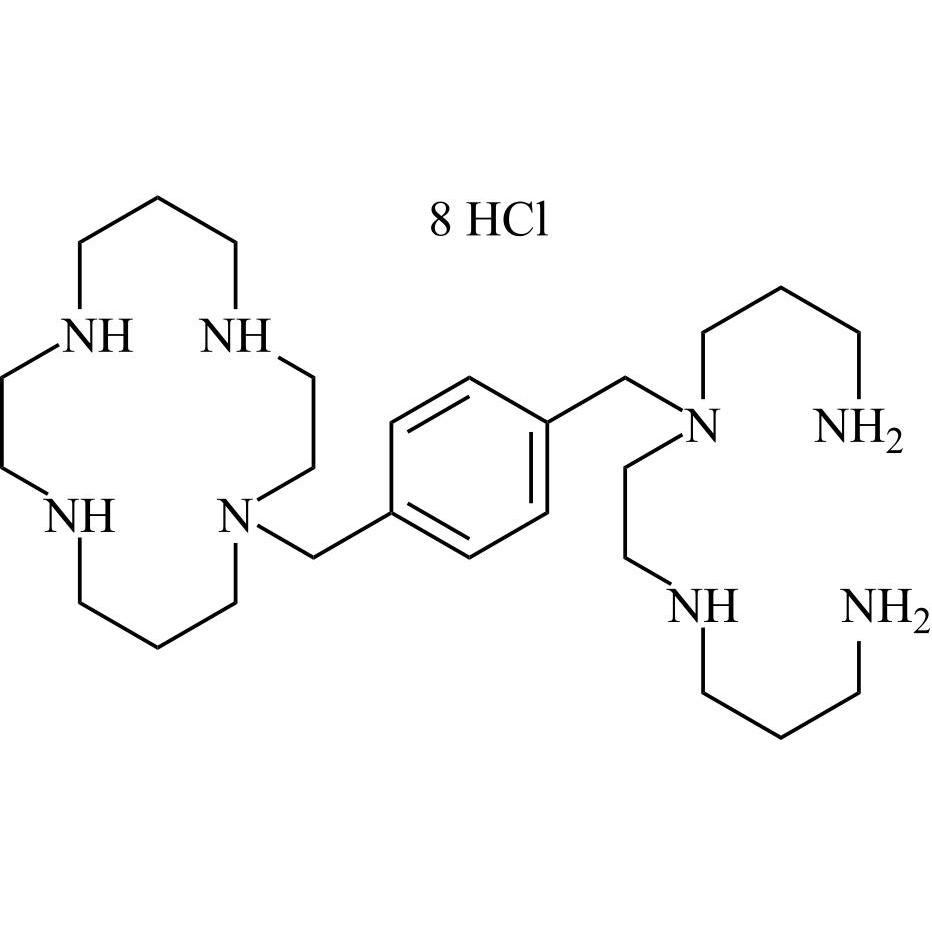
Plerixafor Related Products
Axios Research stands at the forefront of pharmaceutical reference standards ingenuity, providing high quality Plerixafor Reference Standards. These include both pharmacopeial and non-pharmacopeial Plerixafor impurities, metabolites, stable isotope products, and nitrosamines. Our Plerixafor impurity reference standards are essential for pharmaceutical research, aiding in product development, ANDA and DMF submissions, quality control (QC), method validation, and stability studies. They are also used in identifying unknown impurities and evaluating genotoxic potential. Our Plerixafor related products are meticulously characterized and come with a comprehensive Certificates of Analysis (COA) and analytical data that comply with regulatory standards.
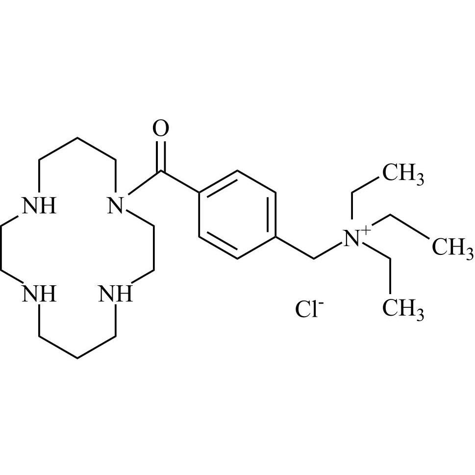
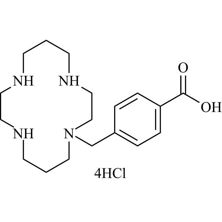
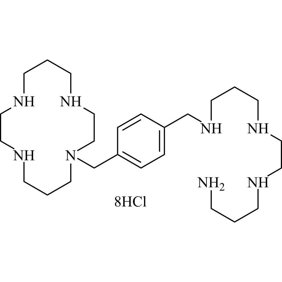
Plerixafor N,N-diethylethanaminium chloride Impurity hydrochloride

M.F.
M.W. 404.67; 35.45; 2(36.45)
CAT# AR-P29832
CAS# NA
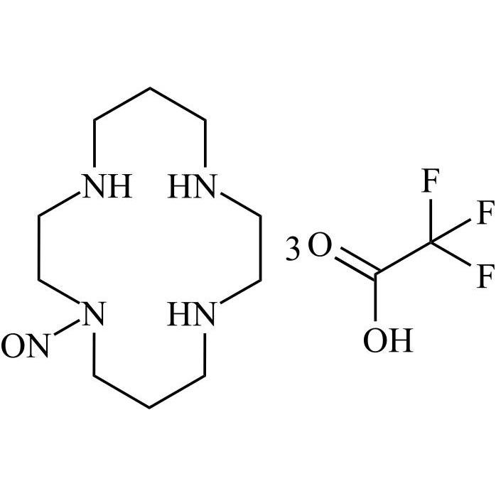
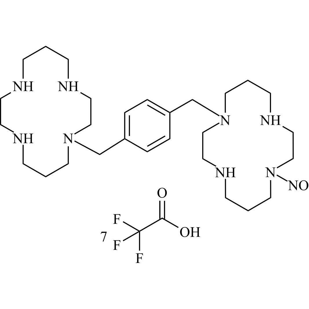
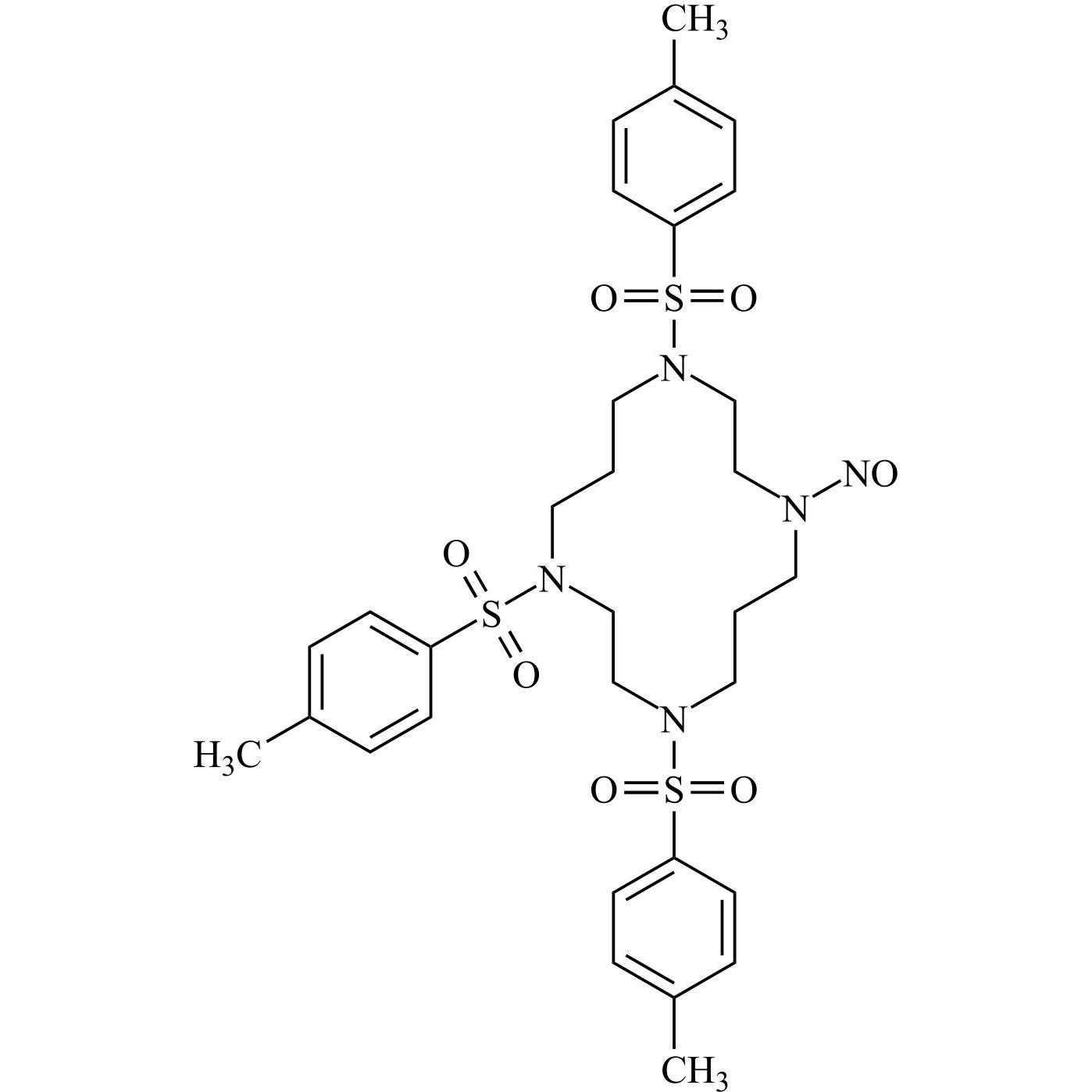
N-Nitroso Plerixafor Impurity 16 Tritrifluoroacetate

M.F.
M.W. 229.33 3*114.02
CAT# AR-P32021
CAS# NA