4-(2-(dipropylamino)ethyl)-3-methoxyindolin-2-one; Ropinirole 3-Methoxy Impurity
3-Methoxy-ropinirole is a fully characterized chemical compound used as a reference standard of API Ropinirole. The standard offered is compliant with regulatory guidelines. 3-Methoxy-ropinirole is used for analytical method development, method validation (AMV), and Quality Controlled (QC) applications during synthesis and formulation stages of drug development and serves as a reference standard for traceability against pharmacopeial standards (USP or EP). Axios Research products are intended for analytical purposes only and are not for human use. CAS - 1391052-27-9
Related products
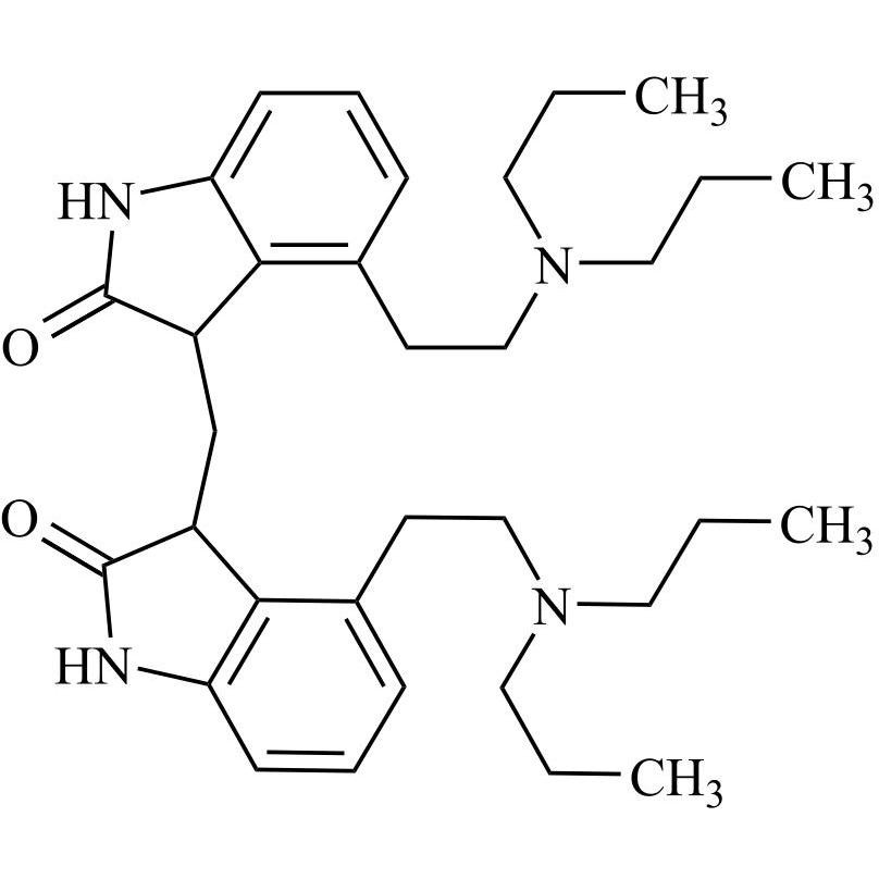
Ropinirole Methylene Dimer (Mixture of Diastereomers)

M.F.
M.W. 532.77
CAT# AR-R11357
CAS# 1800102-50-4