- Synonyms2-(1-(((3-chloroallyl)oxy)amino)propylidene)-5-(2-(ethylsulfinyl)propyl)cyclohexane-1,3-dione
- Description
2-(1-(((3-chloroallyl)oxy)amino)propylidene)-5-(2-(ethylsulfinyl)propyl)cyclohexane-1,3-dione
Clethodim Sulfoxide (Mixture of Diastereomers) is a fully characterized chemical compound used as a reference standard of API Clethodim. The standard offered is compliant with regulatory guidelines. Clethodim Sulfoxide (Mixture of Diastereomers) is used for analytical method development, method validation (AMV), and Quality Controlled (QC) applications during synthesis and formulation stages of drug development and serves as a reference standard for traceability against pharmacopeial standards (USP or EP). Axios Research products are intended for analytical purposes only and are not for human use. CAS -
Related products
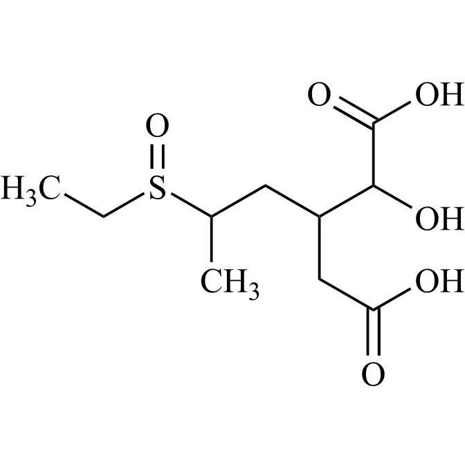
sodium 3-(2-(ethylsulfinyl)propyl)pentanedioate

M.F.
M.W. 248.30 2 22.99
CAT# AR-C03080
CAS# 116007-24-0 (free acid)
Clethodim Impurity 25 (M14R) Disodium Salt (Mixture of Diastereomers)

M.F.
M.W. 266.31
CAT# AR-C07898
CAS# NA
Clethodim Impurity 21 Chloride (Mixture of Z and E Isomers)

M.F.
M.W. 215.70 35.45
CAT# AR-C07912
CAS# 4080-31-3
Clethodim Impurity 9 (Clethodim Imine Sulfoxide) (Mixture of Diastereomers)

M.F.
M.W. 285.40
CAT# AR-C07902
CAS# 111031-28-8
Clethodim Impurity 15 (Clethodim Oxazole Sulfone) (Mixture of Diastereomers)

M.F.
M.W. 299.39
CAT# AR-C07907
CAS# 111031-21-1